网站首页  词典首页

请输入您要查询的字词:

 

字词 套管
类别 中英文字词句释义及详细解析
释义

套管


(-)国产套管

结构见图3-2-35,技术规范见表3-2-72;接箍丝扣剖面见图3-2-36,丝扣尺寸见表3-2-73,丝扣公差见表3-2-74

图3-2-35 国产套管和接箍

图3-2-36 国产套管和接箍丝扣剖面

表3-2-73 国产套管丝扣尺寸(YB690-70)

表3-2-74 国产套管和接箍丝扣公差

国产套管技术规定和要求(YB690-70):

(1)尺寸允许公差:

外径:管体外径:±1%(椭圆度不得超过外径允许公差);接箍外径:±1%。

壁厚:-12.5%。

接箍长度:±3mm。

镗孔直径:套管直径≤194mm的接箍为+0.8mm。套管直径≥219mm的接箍为+1.5mm。

(2)曲率:套管中间弯曲挠度不允许大于全长的1/2000,两端管长部分的弯曲不超过1.3mm/m。

(3)管端应按图内外倒棱,接箍螺纹轴线应吻合,同心度偏差在端面处不应超过0.8mm,距端面300mm处则为0.95mm。

(4)螺纹表面粗糙度Ra>2.5~5μm。

(5)为了便于退刀,接箍中央的退刀槽深度不得大于2.4mm,不得有锐角,如不车此槽,接箍两端螺纹可以相互重迭2扣(6.35mm)。

(6)套管与接箍用机械拧紧时余扣为±1扣。

(7)套管的内外表面不得有折迭、花纹、离层、裂纹、轧折和结疤存在。这些缺陷应完全清除掉、清除深度不得超过公称壁厚的12.5%,凡没有超过壁厚负偏差的其他缺陷允许存在。

(8)套管及接箍采用同-钢级。

(9)接箍丝扣应予镀锌或磷化处理。

(10)丝扣公差应符合表3-2-74的规定。

(11)管子长度8~13m,不短于6m的也可交货,但不得超过20%。

(二)苏制套管

结构见图3-2-37、3-2-38;技术规范见表3-2-75、3-2-76、3-2-77、3-2-78。

图3-2-37 苏制套管与接箍

图3-2-38

表3-2-75 苏制套管与接箍规范(ГоCT 632-64)

注:(1)重η为套管和接箍之平均重量,以下按每10m-个接箍,以上按每8m-个接箍。

(2)空格为无此种规格。

表3-2-76 苏制套管与接箍丝扣规范(ГоCT632-64)

注:(1)表中空格即无此种规格。

(2)ГоCT632-64标准的丝扣剖面及丝扣尺寸,同国产YB690-70标准丝扣剖面及丝扣尺寸。见图2-4-10、2-4-27。

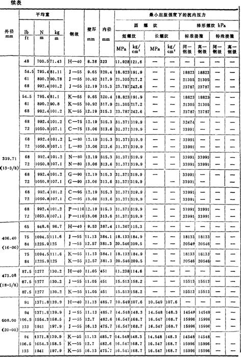
表3-2-77 短丝扣和标准丝扣套管性能(ГоCT632-64)

表3-2-78 长丝扣套管性能(ГоcT632-64)

苏制套管与接箍技术规定及要求(ГOCT632-64):

1、尺寸的允许公差

(1)外径

(2)壁厚:-12.5%。

(3)接箍长度:±3mm

(4)镗孔直径:套管外径≤194mm的接箍+0.8mm套管外径>194毫米的接箍+1、5mm

2.椭圆度不超过允许公差0.8mm,但修理处例外。

3.曲率:中间弯曲挠度小于套管全长的1/2000,管端相当于的长度内,每米应小于1.3毫米。

4.机械紧扣后余扣±1扣。

5.接箍两端的螺纹中心线应当吻合,同心偏差在端面内不应超过0.75mm,在长度1m内不超过3mm。

6.为便退刀,接箍中央可车一退刀槽。深度不超过丝扣深度的0.5mm,但槽不得有尖角。

7.丝扣光洁度不低于ГOCT2789-59中规定的5级光洁度V5。

8.丝扣公差,不得超过以下规定。

(三)API套管

API(第十九版5C2,1984)技术规范见表3-2-79,3-2-80,3-2-81,参看图3-2-39,3-2-40。

图3-2-39 圆螺纹套管连接规范

图3-2-40 API螺纹套管(油管)丝扣剖面

表3-2-79 API套管技

术规范

表3-2-80 API圆螺纹套管丝扣及丝扣连接规范(API-68、70)

注:(1)全部-—(对于短丝扣套管)指该规范套管所有壁厚尺寸有关数据,皆为表中有“全部的一栏。

(2)其余——(对于短丝扣套管)指该规范套管除去指定的壁厚尺寸外,其余各种壁厚尺寸有关数据,皆为表中有“其余”的-栏.

表3-2-81 API圆螺纹套管(油管)丝扣尺寸(API-67、80)

注:参看图3-2-39。

(四)套管标记

1.国产套管标记

(1)距接箍0.4~0.8m处涂鲜明淡标记,内容如下:

(2)套管端面打有钢级、紧密距A值和检查部门印记。

(3)管端色条:钢级DZ1有蓝色三条,钢级DZ2、DZ3、DZ4有红色三条。

2.苏制套管标记

(1)距接箍端0.4~0.8m处打钢印烙记,内容如下:

(2)与烙记并列,每根套管加油漆标记,内容如下:

3.API套管标记

(i)API组合符号,Φ表示美国石油学会。

(2)钢级代号和颜色标记:

(3)扣型代号

(4)OD代表外径;ID代表内径;L代表长度;

(5)钢的类型和管子类型

开炉式、电炉、基氧炉、无标志;巴西马钢标志为“B”,S代表无缝钢管;E代表焊接钢管。

(6)钢印标记 凡采用API标准生产套管的厂家,在接箍端外表上打有钢印(API组合符号;钢号;管子类型),并用明显的白漆圈(有方形的;扁圆的等)圈起来。

随便看

 

文网收录3541549条中英文词条,其功能与新华字典、现代汉语词典、牛津高阶英汉词典等各类中英文词典类似,基本涵盖了全部常用中英文字词句的读音、释义及用法,是语言学习和写作的有利工具。

 

Copyright © 2004-2024 Ctoth.com All Rights Reserved
京ICP备2021023879号 更新时间:2025/10/19 14:16:38