网站首页  词典首页

请输入您要查询的字词:

 

字词 定性预测方法
类别 中英文字词句释义及详细解析
释义

定性预测方法


预测方法通常可分作定性预测和定量预测两类方法,本节讨论定性预测方法,有关定量预测方法将在以后各节讨论。

现代管理科学的发展,任何分析都要有效地利用定性分析与定量分析:定性分析要运用数据说话,依靠定性分析作基础;定量技术是为一定的定性分析提供较准确的数据。没有定量分析,定性分析难以准确;定量技术所得数据如果不能定性,不能为一定的目标、决策服务,这些数只是一大堆无用的数字。为了方便起见,在本节用市场预测定性方法、市场预测技术分别进行。实际上,它们是不可分割的,有内在联系的,只不过是预定预报偏重于应用定性方法,预测预估偏重于运用预测技术。

一般地说,预测技术性强,运用数学模式多,并要求大量、长期占有数据。而预定预报或定性方法则是在预测基础上,加上主观判断及推理。这个主观判断本身,实质上也是一个客观过程,它是运用过去的资料、情况与经验,结合客观环境变化及企业实际去推测未来,资料与情况反映了一定客观实际,经验则有一定的经验概率。可见,它是一个客观过程,是对客观的回忆、认识、再认识及推定。在现代管理、科学、技术发达的日新月异的时代,在现代环境变幻莫测的时代,要调查市场、了解市场、预测市场、分析研究市场,进而服务于市场、经营市场,除可运用一定的预测技术外,市场预定预报方法即定性方法,仍然是非常重要的。用这种质量分析的方法以取得有关市场的资料,对企业的长期经营计划、经营战略、经营决策等都是十分重要的。特别在当前我国大多数企业还没有积累大量的、必要的、能满足市场预测需要的历史资料的情况下,更具有现实意义。

定性分析的主要方法有:

一、经验估计法

经验估计法由企业主管市场营销的领导及有关从事销售工作的人员,凭长期的工作经验加排产会、各种订货会、展销会,从事对某些地区、部门、企业的推销及用户访问、用户服务、摆摊设点站柜台等的经验,通过对市场供求状况及用户心理、购买行为的分析、判断而进行的有关预测预报。这种方法,在客观环境及市场因素较正常、稳定情况下,易于正确;但在市场或客观环境八大不可控制因素有重大变化时,则误差较大。

经验估计法往往与销售员合成法一齐运用,两者实质上是一致的。它是由企业不同地区的分销机构或派驻员,对其所在地区或部门对企业有关产品的未来销售量进行定期的或不定期的预测预报,由企业或公司把各地的资料加以综合分析、判断后,作本单位的市场预报。这也是依靠销售人员的经验及直觉,又取决于其预报的精确程度。

二、专家意见法

这是由美国兰德公司依靠有关专家提出预测的一种预报方法,以古代希腊特尔裴城命名(该城有着名阿波罗神庙。)它依靠一个技术专家小组,用以消除最有声望、最能说会道、最好的推销人员的可能支配。通过采用专家的一致意见而不是折衷去达到目的。

运用专家意见法能发挥不同专家的作用,其结果是集体判断,能收到集思广益的效果。它能把专家的意见、意见分歧的理由表达出来,取各家之长、避各家之短。它同会议方式如单纯开会讨论比较,更能使各类专家独立思考、各抒己见、相互补充,而避免在会主彼此争吵、力量抵消。因而,更能产生积极成果。

小组一般由各种各样的专家组成,往往是某一问题的专门家而不是全面的专家,缺乏某类专门家时可邀请外单位专家参加。然后,请各类专家就市场预测预报的课题作出各自独立的预报,而由专门的秘书或协调人员进行编汇整理编辑工作,使这些意见通俗易懂,并能综合反映,及用书面交流各类专家的意见。一般地说,不要求各类专家相互磋商,以发挥其独立思考能力;在步骤上,通过出题、提问、出题、再提问,按以下三轮定案。

第一轮:由秘书提出要求,明确预测目标,提供情况和问题。请各专家在各自分类的问题中,列表写出可能出现的、对企业生产经营产生重大影响的各类技术事件及测定;要求对每一事件逐一按照合乎需要性、可行性、时机选择等三个因素的基础来权衡。凡属重复项目则经过编辑整理后将多余的淘汰,最后筛选出预报资料项目。

第二轮:由负责专门编辑的小组及秘书将预报资料综合表编辑分送给有关专家,主要分送给与各专家有关的资料,同时附送其它小组对这个专家负责范围的问题有关资料。要求各专家对有关问题在合乎需要性、可行性、时机选择三方面进一步提出建议及评价。

第三轮:由整理组将有关分歧与有关专家个别交换意见、使需要解决的课题或预测预报的有关事件及日期的分歧得以消除。通过反复探索、集思广益而得出的结果,就会在合乎需要性、可行性、事件发生概率、时机选择等方面综合研究,得出每个事件的必要测定与等级,并把它们组成逻辑网络。

专家意见法,在没有什么历史资料可供参考的情况下,也可以用定量技术来解决。其程序与上述大体相似,首先把要求对方答复的问题提交给有关专家(下例如对某产品市场销售量的最低、最高、最可能的销售量);请专家提出意见;把专家的意见综合归纳作第二次征询;然后再综合归纳,直到专家们改动次数低于提出咨询问题的5%时,就可以综合作为最后预测结果了。举例如图表3-1所示。

图表3-1

专家意见法评定表

三、概率分析法

对经验估计法、专家意见法所征得的预测结果,决策者都要用概率分析法加以评定。

概率分析,实质上是人们经验的总结,是人们通过对某一事物、事件的发生的情况与结果,导致决策者对这特定结果产生了“信念量度”。在一般情况下,多采用0~1之间的不同数值来表明本人对事件的有利或不利的可能性的估计。概率分析,应符合概率论的基本公式:

P(Ei)=1;0≤P(Ei)≤1

式中Ei(i=1,2……i)是“经验”样本空间的某一事件。

主观概率法可以确切地反映人对未来事件的直觉判断与信任程度。对多人的主观概率,可以取其平均值。

四、集合意见法

以上三种方法,都各有优缺点,如何更有效地发挥各类营销人员、各种技术专家及厂长、经理们的作用,使预定预报工作质量更高呢?就出现了集合意见法。集合意见法类似我国经常提倡与应用的“三结合小组”的方法。集合意见法强调集各种各类人员、各行各业专家(技术的、经营管理方面的)意见,做到取长补短,以收集思广益、相互补充之效,提高预测水平。

(一)集合意见法实施步骤

第一、由领导提出课题、确定本次预测预报的目的、目标、要求、内容、期限;按不同课召集有关的计划、技术、销售、供应、财会人员开会,研究课题及为完成这一预测预报的有关方法、手段,明确各自的任务及要求。第二,各自进行有关资料的搜集、整理、归纳、分析等,再提出预测预报的意见、看法;在这一过程中,有关人员要相互交换情报、互通信息、尽量使自己的看法、建议、意见符合客观实际。第三,由企业领导召集会议,集合有关意见,作出预测预报。

(二)预测人员的任务

1、计划及统计人员、生产管理人员

计划人员要提供有关领导机关所下达的经济发展趋势、长期计划、方针政策、国民经济发展纲要;领导部门及有关统计、银行等机关发布的预测、预报、统计资料及分析;主管部门对本企业发展方向的建议、具体要求、指令性及指导性计划;本企业的长期经营计划、综合平衡资料、生产能力、计划部门对关事件的预测。生产管理人员对企业生产结构、生产能力、T生产力平衡、资源能源、生产技术准备能力等方面提出意见。

2、“信息-决策”体系及“参谋-决策”体系的参谋、情报、咨询人员及对策方案提供人员。

3、销售人员

包括本企业从事市场、营销的销售系统的有关联营、联销、代销等部门的负责人及本企业门市、各分支机构的负责人。这些人员主要负责提供市场、产品、价格、用户、竞争结构及特点的有关资料及分析,各期市场预测、市场占有率、市场供求变化的历史资料;各自对预测项目的意见及预测。

4、科技人员

主要提供技术发展趋势、本企业新产品的地位、作用、发展趋势、竞争能力、技术能力、质量水平、设备适应程度等。

5、供应人员

主要提供物资、能源的保证程度、节约可能、价值分析等资料。

6、财会人员

主要就目标利润、新产品目标利润、新产品目标成本等方面的试算平衡资料及要求;奖金保证程度等。

(三)组织领导

对人员组织可采取矩阵式组织结构,人员按照每次不同的预测预报要求,组织不同的专业人员参加,不必固定,一般也可以不脱产或半脱产。即可发挥各自特长,又可由参与人员沟通情报、发动本部门同志参与预测,形成预测预报网络,有利于调动各类人员的积极性、发挥各种专家及工作人员的作用。

企业应用这一方法,可在开展全员经营及目标管理中,动员与支持职工成立业余的有关“市场预测预报研究小组”,培养、鼓励、关怀有志之士,使搞好企业预测预报成为群众自觉的行动;也可考虑把已形成队伍的技术经济情报(组、室)的力量与经济情报结合起来成立“技术经济情报”组织,鼓励技术情报人员学经济、使技术为经济服务、使技术经济进一步紧密配合,这对全面开创社会主义现代化建设新局面是有益的。

六、判断分析法

在以上几种定性方法中,常常结合判断分析法对不同的销售人员、不同专业人员或领导的意见,进行综合观察、平衡。具体步骤如下:

(一)请有关人员对销售额作出预测,如图表3-2所示。

图表3-2

判断法销售预测计算表

(二)求销售额预测平均值

1.假定三人预测水平基本一致,即比重相同时:

2.假定三人预测准确率不一,张最好,加权0.5;王次之,加权0.3;李最差,加权0.2,则:

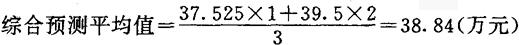
平均销售额预测=36.1×0.5+45.75×0.3+29.5×0.2=37.525(万元)

(三)领导预测与判断

假定销售科长预测40万,销售经理或厂长预测为39万,两人的可信度为1,则领导销售额预测==39.5(万元)

假定销售员思想保守(低点可超额)或预测人员水平不高,领导判断其可信度为1,而领导的预测可信度为2时:

随便看

 

文网收录3541549条中英文词条,其功能与新华字典、现代汉语词典、牛津高阶英汉词典等各类中英文词典类似,基本涵盖了全部常用中英文字词句的读音、释义及用法,是语言学习和写作的有利工具。

 

Copyright © 2004-2024 Ctoth.com All Rights Reserved
京ICP备2021023879号 更新时间:2025/10/18 15:30:11