复矩阵,复向量 元素是复数的矩阵和向量称为复矩阵和复向量
共轭矩阵 设aij为复数.
,其中
是aij的共轭复数,则称
是A的共轭矩阵.
共轭向量 设a1是复数α=(a1,a2,…,an)T,
,其中
是ai的共轭复数,则
是α的共轭向量.
共轭矩阵,共轭向量的运算性质

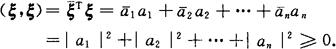
(8)当ξ=(a1,a2,…,an)T是实向量时,
.等号成立当且仅当ai=0(i=1,2,…,n)
当ξ是n维复向量时,应是

等号成立,当且仅当ai=0,i=1,2,…,n.
实对称矩阵的对角化
定理1 实对称矩阵A(满足
)的特征值都是实数.
定理2 实对称矩阵A的属于不同特征值的特征向量相互正交.
定理3 实对称矩阵A必相似于对角阵.即必存在可逆矩阵P,使得
P-1AP=A,
且存在正交矩阵Q,使得
Q-1AQ=QTAQ=A,
即A既相似又合同于对角阵.