网站首页  词典首页

请输入您要查询的字词:

 

字词 容量器皿的使用与校准
类别 中英文字词句释义及详细解析
释义

容量器皿的使用与校准


(一)滴定管 滴定管是具有准确均匀刻度的玻管,用来测量滴定时所消耗溶液的体积。常用的有5、10、25和50ml滴定管,读数可估计至小数后两位,即液体体积可量至0.01ml。通常又可分为酸式(管的下端具有磨砂玻璃塞)及碱式(下端连接着一段橡皮管,管中有玻璃珠作为活塞)两种。酸式滴定管不能用来装碱溶液,因为碱能腐蚀玻塞以致不能转动。相反地,能与橡皮作用的物质如I2、KMnO4、AgNO3等溶液则不可装在碱式滴定管中。避光的溶液还应装在茶色的滴定管中。

读数时滴定管应垂直夹在滴定管架上,读取管中溶液弯月形的底点与刻度标线相切处。而对深色溶液,则读取弯月形上部圆圈的读数。有的乳白色条的滴定管的一侧划有蓝色垂直线,则读数应取蓝线二边水弯月形的二尖为准。

滴定管的校准:溶液的体积及器皿的容积都随温度改变而变化。所谓1L乃指在真空中1000g的纯水在密度最大时(即4℃)所占有的体积。而器皿的使用只能在室温时进行,且称量也只能在空气中进行,故必须选择一适当温度作为校准器皿的标准温度。通常以20℃作为标准。如果器皿不在20℃使用时,则必须按此标准温度加以校正,但不足10m1之容器,对于温度在20℃±4℃者,校正值并无多大影响,可以略而不计。超越此温度范围时须校正之。校正方法如下:

将需要校正的滴定管借一段橡皮管同一小的移液管相连接,如下图1-4。

图1-4 移液管校正

移液管a和b线的刻度,以称量法确定。校正时,先将滴定管和移液管充满蒸馏水,并使滴定管水弯月面与零度相切,移液管水弯月面与a线相切,然后打开弹簧夹使水恰充至b线,读取滴定管之读数。这个读数应相当于已确定的移液管的容积。按上述操作反复进行,直到滴定管的最末读数。设移液管的容量经称量法确定为4.813ml,而相应滴定管的读数为4.90,则滴定管每毫升等于真实毫升。假如第二次充满移液管时刻度降到9.78,则在这段滴定管每毫升为真实毫升。根据这一系列实验数据作成一个表,供操作用。

(二)移液管 移液管是用以准确地量取一定体积液体的量器,又分为带均匀刻度的玻管形(又称吸量管)和无刻度而中部膨大而下端缩小的玻管二类。后者又称移液管或大肚吸管,膨大部分标明移液管的体积和温度。在实验室常用的是1、2、5、10、20、25和50ml的二类移液管。

移液管用口吸时必须小心,切勿将液体吸入口里,因此,必须注意容器内装的液体应超过该移液管之容量,此外抽取液体时应该将移液管的尖端伸入容器底部。

对浓酸浓碱及有毒液体绝对严禁用口直接吸移。在这种情况下,可用吸水球或水压抽气筒抽取液体。

移液管之校准:将移液管洗净,吸取蒸馏水至刻度处,然后将水放入外部干燥洁净并已称量过的碘价瓶小锥瓶中,使水放完后将吸管的尖端接触到瓶壁约1分钟后,将瓶加盖,称得称瓶与水之共重。按照该温度下水的密度计算其容量。

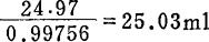
例如:在18℃时校准25ml移液管,放出的水重为24.97g,查表可得18℃水的密度为0.99756。移液管的容量为:

(三)容量瓶和量筒 容量瓶是一个具有细而长瓶颈的玻璃瓶。颈上一般刻有一个刻度(有的有二个刻度,上刻度表示倾出量,下刻度表示容量)充入液体达到这个刻度的水平时,液体的体积就相应于瓶上所表明该温度时的体积。常用的有25、50、100、250、500及1000ml的容量瓶。

容量瓶不宜加热,因为加热能使它的容积发生变化。如果内容物必须加热,应先在烧杯中进行,待冷后再移入容量瓶中定容。或可于水浴中加温至100℃以下。装碱性溶液的容量瓶,不可使用玻璃塞;而装KMnO4、AgNO3、I2液的容量瓶不可使用橡皮塞和软木塞,以免腐蚀。

量筒常有5、10、25、50、100、250、500、1000及2000ml等容积的。依其容量大小分成许多刻度,每一分度由0.1ml至10ml不等。读数时视线与液体的凹面要在同一水平线上。量筒仅作粗略地量度液体体积之用。

容量瓶的校正:洗净容量瓶内外壁,俟其干燥。然后称重,装入蒸馏水至刻度处(此时容量瓶内壁不应有水珠,若有水珠,可用滤纸吸去)然后再称重。按照水在校正温度下的密度求得其容量。

举例:一个容量瓶标明20℃容积1L,即表明此容量瓶在20℃的容积等于1000g水在4℃时所占有的体积。如在24℃使用则其校正结果如下:

设该容量瓶充水至刻度(24℃)的重为: 1136.40g

空容量瓶重: 140.58g

水重为: 1136.40-140.58=995.82g

玻璃的膨胀系数为: 0.000025

24℃水的密度为: 0.99629

故容量瓶增加的容积为: 1000×0.000025×(24-20)=0.10ml

0.1ml体积很少,可用0.1g代用计算即可。如果容量瓶并不因温度升高(20℃至24℃)而发生体积膨胀,则容量瓶在24℃时所装水之重为:

则容量瓶在20℃时的准确容积应为:

故其校正值为-0.57ml。

(四)烧杯、三角瓶和干燥器 烧杯常用的有50、100、150、200、400、600、800、1000及2000ml。实验室最常用来配制试剂;烧杯可置于铁丝网或石棉网上加热;烧杯亦可用于试验中产生沉淀以及倾倒过滤等用。由烧杯向外倾倒溶液,可藉助玻璃棒接着烧杯的嘴徐徐倒出,如此可确保溶液不损失。烧杯中溶液的搅动亦须用玻璃棒而不可采用动,以免杯中溶液溅失。

三角瓶有50、125、250、300及500ml的。三角瓶也可以直接在石棉网、铁丝网上加热;三角瓶可用于溶液的滴定以及接受滤液等。但三角瓶不便定量地倾出溶液,此时可用烧杯。三角瓶也不必加玻璃搅动,可紧握三角瓶颈后作水平摇动即可达使溶液均匀混合的目的。

干燥器内分上下二层,中间以带大孔的瓷板隔开。下层放干燥剂,上层放置坩埚等物。干燥剂种类很多,常用的有氯化钙、氧化钙、变色硅胶等,也可用浓H2SO4,最好的干燥剂是Mg(ClO4)2

从高温炉或烘箱中取出的坩埚等,放入干燥器中温度很高,故最初干燥器的盖勿盖严,可错开一小缝,使热空气逸出,须反复数次。如此可防空气受热膨胀而顶掉干燥器盖。亦应防止热空气时紧闭后,里面空气冷却收缩,压力变小而打不开干燥器的盖子。干燥器盖边沿涂有润滑剂凡士林,开启时应水平推开而不是揭开;放置桌上时应朝上,以免粘上尘土,影响其密封性。

表1-3 15-30℃时1ml水的重量(g)

随便看

 

文网收录3541549条中英文词条,其功能与新华字典、现代汉语词典、牛津高阶英汉词典等各类中英文词典类似,基本涵盖了全部常用中英文字词句的读音、释义及用法,是语言学习和写作的有利工具。

 

Copyright © 2004-2024 Ctoth.com All Rights Reserved
京ICP备2021023879号 更新时间:2025/10/18 10:55:17