网站首页  词典首页

请输入您要查询的字词:

 

字词 导线测量
类别 中英文字词句释义及详细解析
释义

导线测量


1.初测导线的外业工作

初测导线是测绘道路带状地形图和定线、放线的基础,导线应全线贯通。导线的布设一般是沿着大旗的方向采用附合导线的形式,导线点位应尽可能接近道路中线位置,在桥隧等工点还应增设加点,相邻点位间距以50~400m为宜,相邻边长不宜相差过大。采用全站仪或光电测距仪观测导线边长时,导线点的间距可增加到1000m,但应在不长于500m处设置加点。当采用光电导线传递高程时,导线边长宜在200~600m之间。

铁路和公路初测导线的水平角观测,习惯上均观测导线右角,应使用不低于DJ6型经纬仪或精度相同的全站仪观测一个测回。两半测回间角值较差的限差:J2型仪器为15″,J6型仪器为30″,在限差以内时取平均值作为导线转折角。

导线的边长测量通常采用光电测距,相邻导线点间的距离和竖直角应往返观测各一测回,距离一测回读数4次,边长采用往测平距,返测平距仅用于检核。检核限差为,mD为仪器标称精度。采用其他测距方法时,精度要求为1/2000。

由于初测导线延伸很长,为了检核导线的精度并取得统一坐标,必须设法与国家平面控制点或GPS点进行联测。一般要求在导线的起、终点及每延伸不远于30km处联测一次。当联测有困难时,应进行真北观测,以限制角度测量误差的累积。

当前,随着测量仪器设备的发展,在铁路和公路道路平面控制测量中,初测导线越来越多地使用GPS和全站仪配合施测。从起点开始沿道路方向直至终点,每隔5km左右布设GPS对点(每对GPS点间距300~400m),在GPS对点之间按规范要求加密导线点。用全站仪测量相邻导线点间的边长和角度,之后使用专用测量软件进行导线精度校核及成果计算,最终获得各初测导线点的坐标。若条件允许,在对点之间的导线点,也可全部使用RTK施测。

2.初测导线的成果检核

《工程测量规范》(GB 50026-2007)中对一般公路初测导线的主要技术要求见表11-6。在《公路勘测规范》(JTG C10-2007)中,对不同等级公路测量的各项技术指标均有明确要求,具体应用时,可查阅有关规定。

表11-6 一般公路初测导线的主要技术要求

注:n为测站数。

(1)导线方位角闭合差

1)两端与国家控制点联测。对于两端与国家控制点联测的附合导线,如图11-13所示,其方位角闭合差为:

式中 α′CD——根据导线转折角推算出的导线终止边的坐标方位角;

αAB,αCD——导线起始边和终止边的坐标方位角;

β——导线转折角(右角);

n——导线观测角的个数,包括连接角。

图11-13 初测附合导线

2)两端测真北。对于两端测真北的延伸导线,如图11-14所示,其方位角闭合差为:

fα=AAB+n×180°-∑β-ACD

式中 AAB,ACD——进行真北观测得到的起始边AB和终止边CD的真方位角;

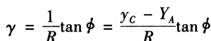
γ——子午线收敛角。

式中 Φ——两真北观测点A点和C点的平均纬度;

l——两真北观测点的横坐标差l=yC-yA

R——地球的平均半径,R=6371km。

图11-14 初测延伸导线

3)一端与国家控制点联测,另一端观测真北。当导线一端与国家控制点联测,另一端只观测真北时,仍采用以上两式计算方位角闭合差。但式中AABAB,l为真北观测点与该带中央子午线的横坐标差,Φ为其北观测点的纬度。

(2)导线长度闭合差

国家控制点或其他高级控制点一般采用高斯坐标,当初测导线与高级控制点联测进行校核时,应首先将导线测量成果化算到大地水准面上,然后再归化到高斯投影面上,才能进行校核。

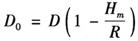
设导线在地面上的实际长度为D,改化到大地水准面的长度D0可按下式计算:

式中 Hm——导线的平均高程;

R——地球的平均半径。

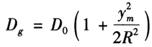
再改化到高斯平面上,可按下式计算

式中 ym——导线两端点横坐标实际值(高斯坐标减去带号及附加值500km)的平均值。

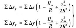
初测导线是用坐标增量计算导线长度闭合差的,因此,应该将导线坐标增量总和进行量和改正。两次改化后的坐标增量总和按下式计算:

式中 ∑△xg,∑△yg——量化改正后的纵、横坐标增量总和;

∑△x,∑△y——实测的导线纵、横坐标增量总和。

求出改化后的坐标增量总和之后,计算闭合差进行校核。

另外,还要注意所用的高级控制点是否位于同一高斯投影带内。若不在同一投影带,则应进行坐标换带计算,把邻带控制点的坐标换算为同一带的坐标,之后再进行校核计算。

随便看

 

文网收录3541549条中英文词条,其功能与新华字典、现代汉语词典、牛津高阶英汉词典等各类中英文词典类似,基本涵盖了全部常用中英文字词句的读音、释义及用法,是语言学习和写作的有利工具。

 

Copyright © 2004-2024 Ctoth.com All Rights Reserved
京ICP备2021023879号 更新时间:2026/5/21 18:08:27