网站首页  词典首页

请输入您要查询的字词:

 

字词 小麦纹枯病测报调查方法
类别 中英文字词句释义及详细解析
释义

小麦纹枯病测报调查方法


小麦纹枯病(Rhizoctonia spp.)分布地域广,几乎遍及世界各温带小麦种植地区。我国长江流域、黄淮平原各省、自治区均有发生。近年来,江苏、安徽、河南、山东、河北等地发生严重。病原菌的寄主范围广泛,禾本科作物有小麦、大麦、燕麦、玉米、高粱、谷子、水稻等,非禾本科作物有棉花、亚麻、烟草、马铃薯、大豆、花生、甜菜及卷心菜等。

1 主要影响因子

1.1 气候因子

病害的发展与日均温度关系密切。日均温在10℃以下时,病害发展缓慢;日均温超过15℃,病情上升;20~25℃病情发展迅速,病株率和严重度都急剧上升;当气温达30℃左右时,病害发展基本停止。春季多雨潮湿天气利于病害发生。

1.2 栽培条件

冬麦早播、密植、多氮肥,冬前麦苗过旺或麦田草害重,田间湿度大,以及肥水管理不合理,病田常年连作,病害发生均较严重;施用带病残株而未腐熟的粪肥等,也有利发病。

1.3 品种抗病性

小麦品种间对纹枯病抗性存在明显差异。生产上大面积种植感病品种是纹枯病发病普遍的一个重要因素。

2 调查项目和方法

2.1 系统调查

2.1.1 调查时间 从小麦返青后开始调查,10天调查1次,直到乳熟期。

2.1.2 调查田块 根据当地小麦品种的布局状况及生态类型,在适宜发病、有代表性的品种中选择早、中、晚茬地各一块,作为系统观测田,每块田面积应大于2×667m2

2.1.3 调查方法 每块田单对角线5点取样,每点20株,调查病株数。从拔节期(进入侵茎期)开始调查侵茎数和病茎严重度。进行病茎严重度调查时,每点拔病株10株逐一调查病茎严重度。计算侵茎率和病情指数,记录结果并汇入小麦纹枯病病情系统调查表(表4-107)。全田侵茎率和病情指数还需乘上病株率。

表4-107 小麦纹枯病病情系统调查表

2.2 田间普查

2.2.1 普查时间 分别在小麦秋苗期、拔节期、扬花期、乳熟期调查。每年普查时间应大致相同。

2.2.2 普查田块 依据小麦栽培区划和常年发病情况选定若干代表性区域,在各代表性区域内选不同品种、不同茬口、不同播期及不同施肥水平等不同生态类型田10块以上。

2.2.3 普查方法 每块田对角线5点取样,每点调查20株。记载病株数、侵茎数和病情指数,统计病田率。记录结果并汇入小麦纹枯病病情普查表(表4-108)。

表4-108 小麦纹枯病病情普查表

3 预测预报方法

主要根据本地区品种布局、栽培肥水条件、小麦播期、越冬菌源(秋苗病情)、冬春气候因素及病情增长速度、主要感病为害阶段(拔节到抽穗期)的气象预报等综合分析预报。

3.1 长期预报

在小麦返青前做出。根据菌源基数(上年发病程度)、稻麦连作年限及当年所占比例,冬麦播种期、秋冬苗期病情、气温及春季长期预报等做出发生趋势展望。若上年秋苗发病重,稻麦连作面积大(占50%以上),播种期正常偏早,秋冬温暖,天气预报春季气温回升快,雨日多,湿度大,病害有可能流行;反之则轻。

3.2 中短期预报

在3月上、中旬做出。可根据早春病情,气温回升情况,病情增长速度,小麦长势,结合中短期天气预报综合分析预测。若早春发病重,气温回升快(10℃以上),小麦长势好,病情发展迅速,气象预报3、4月份雨水偏多,光照不足,病害将大流行;反之则轻发生。

河南南阳李金锁用1984-2000年资料研究表明,小麦纹枯病发生流行与秋苗和早春菌源基数及冬春气候因子关系密切。秋苗发病率高,冬季气候温暖、雨雪偏多,春季雨日多、雨量大、日照时数少、气温偏低的年份发病重。

湖北随州赵光才等经多年调查认为,年度间的发生程度主要受天气条件控制,地区间发病差异受生态类型和管理措施影响。11、12月份气温偏高,雨量适中,田间湿度大,年前发病重;而最终发病程度取决于3月下旬至5月初的雨日、雨量。土壤黏重、排水不畅和有机质含量少的田块抗病力差,发病重;坡岗地等不易渍水、有机质丰富的田块一般发病较轻。播期、施肥、田间草害等的影响最为明显。播期早、苗期气温高,冬前病菌侵染时间长,发病相对较重。偏施、迟施氮肥,轻磷、钾肥,麦苗素质差,抗病力下降;杂草严重,不仅与麦苗争肥、争光、争空间,植株长势差,抗病力下降,而且造成田间荫蔽度大,加剧了病害的滋生与蔓延。

4 测报调查参考资料

4.1 术语解释

4.1.1 侵茎率 为茎秆出现病斑株数占调查总株数的百分率。

4.1.2 严重度 严重度指病茎上病斑宽度占茎秆周长的比例,用分级法表示:

◆0级:(无病)健株;

◆1级:叶鞘发病,或茎秆上病斑宽度占茎秆周长的1/4以下;

◆2级:茎秆上病斑宽度占茎秆周长的1/4~1/2;

◆3级:茎秆上病斑宽度占茎秆周长的1/2~3/4;

◆4级:茎秆上病斑宽度占茎秆周长的3/4以上,但植株未枯死;

◆5级:病株提早枯死,呈枯孕穗或枯白穗。

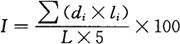
4.1.3 病情指数 用以表示病害发生的平均水平。采用以下公式计算:

式中:

I——病情指数;

di——各严重度级值;

li——各级病株数;

L——调查总病株数。

4.2 测报资料收集、汇报和汇总

收集小麦播种期和各期播种的小麦面积、灌溉麦田面积及其他必需的栽培管理资料;主要品种的栽培面积、生育期和抗病性,以及当地气象台(站)主要气象要素的预测值和实测值。

全国区域性测报站每年定时填写小麦纹枯病模式报表报上级测报部门。

对小麦纹枯病发生期和发生量进行统计汇总,记载小麦种植和纹枯病发生、防治情况,总结发生特点,进行原因分析。

4.3 发生程度分级标准

小麦纹枯病发生程度以当地发病高峰期平均病情指数表示,划分为5级,各级指标见表4-109。

表4-109 小麦纹枯病发生程度分级指标

4.4 防治指标

一般掌握在小麦分蘖末期纹枯病纵向侵染时,当平均病株率达10%~15%或病情指数达5时进行防治。

随便看

 

文网收录3541549条中英文词条,其功能与新华字典、现代汉语词典、牛津高阶英汉词典等各类中英文词典类似,基本涵盖了全部常用中英文字词句的读音、释义及用法,是语言学习和写作的有利工具。

 

Copyright © 2004-2024 Ctoth.com All Rights Reserved
京ICP备2021023879号 更新时间:2026/4/19 18:44:20