网站首页  词典首页

请输入您要查询的字词:

 

字词 工人平均等级计算
类别 中英文字词句释义及详细解析
释义

工人平均等级计算


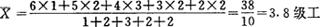
计算工人平均等级时,由于各等级工人多少不同,应按加权平均数计算。其计算公式为:

式中-加权平均数;

X1,X2,…,Xn-为工人等级(变数);

Y1,Y2,…,Yn-为小组成员数(权数)。

[计算例] 如防水工程小组成员共10人,其中六级工1人,五级工2人,四级工3人,三级工2人,二级工2人,求其平均等级。

根据《全国建筑安装工程统一劳动定额》,对各项工程分别制定了平均等级(见表3-2)。

表3-2 建筑安装工人平均等级

随便看

 

文网收录3541549条中英文词条,其功能与新华字典、现代汉语词典、牛津高阶英汉词典等各类中英文词典类似,基本涵盖了全部常用中英文字词句的读音、释义及用法,是语言学习和写作的有利工具。

 

Copyright © 2004-2024 Ctoth.com All Rights Reserved
京ICP备2021023879号 更新时间:2025/10/17 13:42:06