填料有碳酸钙、陶土、重晶石粉等。
(1)水分
同硬脂酸钙。
(2)细度
同硬脂酸钙。
(3)水中静止比体积:称取试样1g置于10ml带塞量筒中,加蒸馏水至刻度,将量筒横拿激烈摇动,直至与水混合均匀,将量筒静放桌上约1.5h,读取样品在水中体积。

(4)灼烧失重
称取试样2~3g,置于灼烧恒重的瓷坩埚内。在900℃高温炉内灼烧2h,取出稍冷后,置于干燥器中冷却后称重。

(5)硫酸钡含量测定
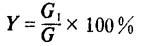
称取试样约1g(准确至0.0002g),置于瓷坩埚中加盖,在高温炉内(约850~900℃)熔融40min。冷却后用热水100ml浸出熔融物于150m1之烧杯中,用0.2%碳酸钠热溶液洗涤5~6次,并过滤,滤纸上的残余硫酸钡用1∶4的热盐酸分6次消溶,每次5ml(用500ml烧杯收集此溶液),每加一次盐酸前必须用热蒸馏水冲洗漏斗上的滤纸,直至无氯离子为止。用氨水中和此溶液,加0.4~0.6ml盐酸(相对密度1.19)使呈微酸性,用蒸馏水稀释为400ml,煮沸后加25ml40%热硫酸铵溶液,并不断搅拌沉淀,放置过滤。用热蒸馏水充分洗涤沉淀、烘干。将沉淀置入已称量的瓷坩埚中,炭化后在850℃的高温炉中灼烧30min,置于干燥器中冷却后称重。

式中 Y——硫酸钡的百分含量
G1——灼烧后之硫酸钡重(g)
G——碱酸钡之试样重(g)