1.展开式
(x+a)(x+b)=x2+(a+b)x+ab
(a+b)2=a2±2ab+b2
(a+b)3=a3+3a2b+3ab2±b3
(a+b+c)2=a2+b2+c2+2ab+2bc+2ca
(a+b+c)3=a3+b3+c3+3a2b+3ab2+3b2c+3bc2+3a2c+3ac2+6abc
a2-b2=(a-b)(a+b)

a3+b3+c3-3abc=(a+b+c)(a2+b2+c2-ab-bc-ca)
a4+a2b2+b4=(a2+ab+b2)(a2-ab+b2)
(ax+b)(cx+d)=acx2+(ad+bc)x+bd
2.二次方程式
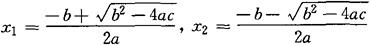
ax2+bx+c=0,a、b、c是实数,且a≠0
则该方程的根为

且根与系数的关系为

判别式为:

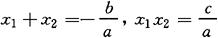
3.指数定则
m、n为正整数,a、b为正实数,则

a0=1
4.对数定则
x、y、a、b、c为正实数,则

5.级数定则
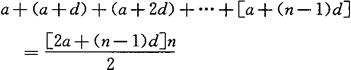
等差级数

等比级数

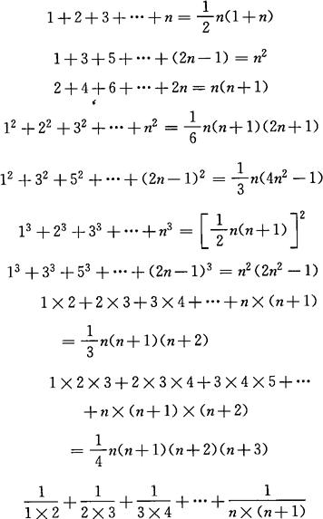
某些数列的前n项和


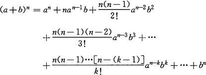
6.二项式定理

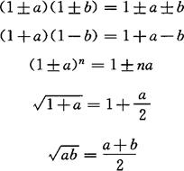
7.近似计算
当
时,


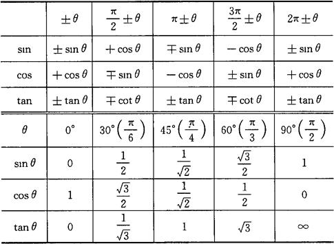
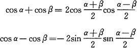
8.三角函数(表1-1)
表1-1 三角函数表




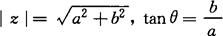
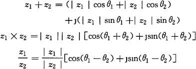
9.复数

复数的三种表示式及其相互关系
代数式:z=a+bj
三角式:z=|z|(cosθ+jsinθ)
指数式:
其中 a=|z|cosθ,b=|z|sinθ

复数的运算

10.函数和坐标图
直线方程:y=ax+b
圆方程:(x-a)2+(y-b)2=r2
椭圆方程:
双曲线方程:
抛物线方程:y2=4ax