网站首页  词典首页

请输入您要查询的字词:

 

字词 平面方程的各种形式
类别 中英文字词句释义及详细解析
释义

平面方程的各种形式


平面方程的一般式

Ax+By+Cz+D=0,

其中A,B,C不同时为零,垂直平面的一个法向量n={A,B,C}.

平面方程的点法式 设平面过一定点(x0,y0,z0),其法向量为n={A,B.C},则其平面方程为

A(x-x0)+B(y-y0)+C(z-z0)=0.

称为平面的点法式方程.

截距式方程

该平面过三点(p,0,0),(0,q,0),(0,0,r),且p·q·r≠0.p,q,r分别称为平面在x,y,z轴的截距.

平面方程为x,y,z之间的一次方程,反之也成立

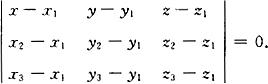
平面过不在一条直线上的三个点的方程 设M1(x1,y1,z1),M2(x2,y2,z2),

M3(x3,y3,z3)不在一条直线上,则过M1,M2,M3的平面方程为

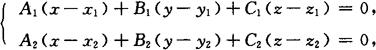
两平面间的夹角(指不超过π) 设平面A1x+B1y+C1z+D1=0及A2x+B2y+C2z+D2=0,则其夹角θ为

直线方程的各种形式

(1)直线的一般式方程

其中x,y,z的系数不成比例.

与L平行的直线的方向向量l为

(2)直线的对称式方程

设直线L过定点(x0,y0,z0),其方向向量l={m,n,p},则L的方程为

这一形式称为对称式方程.当分母为0时,应理解是分子为0.

(3)直线的参数式方程

设直线L过点(x0,y0,z0),其方向向量l={m,n,p},则L的方程为

此形式称为参数式方程.

两直线间的夹角(指不超π的) 设两直线的方向向量分别为l1={m1,n1,p1},l2={m2,n2,p2},则它们间的夹角θ为

直线与平面的夹角 设直线的方向向量为l={m,n,p},平面的法向量为n={A,B,C},则它们夹角的正弦(见图8.4)为

图8.4

点到平面的距离 设定点(x0,y0,z0),平面方程为Ar+By+Cz+D=0,则点到该平面的距离d为

平面束方程 设平面π1:A1x+B1y+C1z+D1=0,平面π2:A2x+B2y+C2z+D2=0,则过π1与π2的交线的所有的平面方程称为平面束方程,其方程为

λ(A1x+B1y+C1z+D1)+μ(A2x+B2y+C2z+D2)=0,

其中λ,μ为不同时为0的实数.

点到直线的距离 设定点为A(x0,y0,z0),直线方程为

M=(x1,y1,z1)在直线上,则(x0,y0,z0)到该直线的距离d(见图8.5)为

图8.5

其中l={m,n,p}.

两条直线间的垂直距离 设直线L1的方向向量为l1,直线L2的方向向量为l2,M1,M2分别为L1,L2上一个定点.则L1与L2间的垂直距离d为

两直线的垂直方程 设直线L1与L2的方程分别为

则两直线的方程为

其中

两条直线共面的条件 设L1的方程为

L2的方程为

则L1与L2共面的条件是

四点共面的条件 设M1(x1,y1,z1),M2(x2,y2,z2),M3(x3,y3,z3),M4(x4,y4,z4),则M1,M2,M3,M4共面的条件是

随便看

 

文网收录3541549条中英文词条,其功能与新华字典、现代汉语词典、牛津高阶英汉词典等各类中英文词典类似,基本涵盖了全部常用中英文字词句的读音、释义及用法,是语言学习和写作的有利工具。

 

Copyright © 2004-2024 Ctoth.com All Rights Reserved
京ICP备2021023879号 更新时间:2025/10/18 11:30:35