网站首页  词典首页

请输入您要查询的字词:

 

字词 平面解析几何的三个基本公式
类别 中英文字词句释义及详细解析
释义

平面解析几何的三个基本公式


图1.2

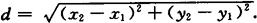
两点之间的距离公式 设点M1(x1,y1),M2(x2,y2),则M1与M2之间的距离d为

分线段为定比的分点公式 如图1.2所示,设,则分点M的坐标为

线段的中点坐标为

三角形的面积公式 设△A1A2A3(如图1.3所示),则它的面积S为

图1.3

随便看

 

文网收录3541549条中英文词条,其功能与新华字典、现代汉语词典、牛津高阶英汉词典等各类中英文词典类似,基本涵盖了全部常用中英文字词句的读音、释义及用法,是语言学习和写作的有利工具。

 

Copyright © 2004-2024 Ctoth.com All Rights Reserved
京ICP备2021023879号 更新时间:2026/1/16 22:45:07