网站首页  词典首页

请输入您要查询的字词:

 

字词 应用量本利分析实现目标利润
类别 中英文字词句释义及详细解析
释义

应用量本利分析实现目标利润


1983年,由于民用消费类电子产品市场竞争激烈,供求情况多变,某厂面临着收音机供过于求,产品限产降价的局面,降价因素直接对该厂当年经济效益带来很大影响。要据当年的生产计划草案测算,利润仅能达到593.9万元,而上级下达的利润计划指标是870万元,相差276,1万元。为了完成上级要求的利润指标,力争调价少减利和不减利,加强应变能力,取得较好的经济效益,厂部要求财务部门在更广泛的范围内,组织经济核算及加强管理,并为各项经营决策提供科学的、有说服力的分析。

对于这样的要求,他们以往使用的传统方法,即用上年或历史的单机利润结合生产任务来测算本年利润的办法,已经不再适应。因为这种传统方法编制的预算,由于市场变化莫测,引起企业内部的意外变化,使得实际情况往往与预算的差距较大。而且按传统方法编制成本利润计划,工作量大,无法及时提供有价值的信息,预算中的各项数据,对于经营决策,有时会失去控制和指导作用。

于是,他们开始尝试性预算的编制。1983年,该厂以公司的利润指标作为目标利润,从边际分析着手,明确了提高经济效益的主要努力方向和重点措施,结果全年利润达到960万元(毛利1030.91万元),比上级下达指标增收90万元。1984年确定利润目标为1,350元(毛利),比上年增加30%(产值增长为6.2%,利润增长大超过了产值增长)。

编制弹性预算的基本步骤是:选择业务量的计量标准和范围,逐项研究并确定各项成本和业务量之间的数量关系,计算各项预算成本,并用一定的方式来表达。另外,由于该厂的产品大类品种基本不变,生产能力上下幅度也较小,因此,在预测1984年的成本、利润计划时,以上年实际为基础。具体预测如表1。

表1

1983年实际资料

注:该厂半变动费用仅占固定费用的5%左右,为简化计算,将其归并在固定费用内

根据以上资料可得出:

1984年的目标利润比上年实际利润增加319.09万元,用以上几个公式为基础,运用量本利分析的基本概念分析如下:

(1)如果成本构成和单价不变,则销售量必须增加。1984年增加产销量===45.26(万时)

(2)如果销售量、单价和单位变动成本不变,则固定成本总额必须降低319.09(万元)。

(3)如果销售量、单价和固定成本不变,则单位变动成本必须降低。

即单位变动成本要降到30.28-1.29=28.99万元/万时,才能保证在原有的产销售量基础上,达到目标利润1,350万元。

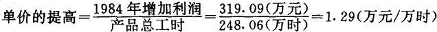
(4)如果销售量、固定成本和单位变动成本不变,则单价必须提高。

即销售收入要提高到38.62万元,才能在不增加产销量的基础上实现目标利润。

然后根据以上四条,结合今年的生产能力和市场销售情况,进行目标利润可行性分析:

按1984年的生产能力比上年增加5%计算,可增加工时12.4万时(248.06万时×0.05),可增加利润12.4×7.05=87.42万元。因此要达到目标利润,生产能力缺口为45.26-12.4=32.86成时,利润尚缺319.09-87.42=231.67(万元)。

可见,要实现目标利润,首先必须提高单位边际贡献。单位边际贡献的提高,有两条途径,即增加单位销售收入,减少单位变动成本。

从1984年该厂安排情况来看,收音机生产量降低,收录机生产量增长,因此是完全可以实现增加销售收入的目的。

电子行业的特点是料重工轻,原材料占整个成本的85%以上,他们重点在变动费用上挖潜力,具体做法是:

①加强成本员的管理职能,按季将每一产品的目标成本下达到各车间严格控制、考核,严格限额发料制,成本员及时掌握分析原材料的变动因素:

②降低材料采购成本,供应科通过择优择廉,计划全年节约10万元;

③加强外协核价,计划节约外协费用30万元;

④继续开展价值工程分析,降低功能成本200万元左右。

与此同时,他们还在压缩固定费用上采取了相应措施,一是减少不必要的广告,压缩广告费用20万元,二是压缩差旅费2万元,这样,固定费用可压缩22万元。

从以上量本利分析,不仅可以看到目标利润是完全可以实现的,而且明确了实现目标利润的重要环节和所需采取的重点措施。按预测数据,作出成本-产量-利润图,从而确定了目标成本如下图所示。

量本利分析对该厂的经营决策起到了重要参考作用。但是有些问题还在摸索中,譬如,多品种的企业销售量的确定,采用何种计量单位比较妥当。产品结构不同,销售售利润率也不同,因此确定销售总收入后,如何确定品种感到困难。

通过一年来的初步运用,他们感到应用量本利分析来预测目标成本,对加强经济核算,提高企业经济效益,确实有积极的作用。

随便看

 

文网收录3541549条中英文词条,其功能与新华字典、现代汉语词典、牛津高阶英汉词典等各类中英文词典类似,基本涵盖了全部常用中英文字词句的读音、释义及用法,是语言学习和写作的有利工具。

 

Copyright © 2004-2024 Ctoth.com All Rights Reserved
京ICP备2021023879号 更新时间:2026/3/16 21:07:40