BOD的去除率(自净能力)计算
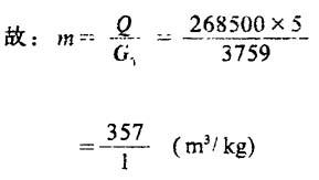
[例21在例1中,若该河段五日内流经97km,污染负荷BOD由20ppm降低至6ppm,已知日径流量为268500m3/d,原河中水BOD负荷为2ppm。求: ❶ 自净能力的BOD去除率?❷ 求5d内去污能力的径污比?❸ 相当于多大径流量的河水五日后去除70%? 解: ❶ BOD去除率  式中 K——BOD.去除率(%) G1——污染负荷BOD5自净去除量(kg) G——河段中BOD5原有总量(kg) G2——BOD降低量(kg) O——日径流总量(m3/d) Q2——排入河段BOD量(kg)  ❷ 该河段五日内去污能力的径污比  式中 m——径污比 Q——5日内径流总量(m3) G3——BOD去除量(kg)  即河流自净1tBOD5约需径流总量357000m3。 ❸ 相当的径流量为Z 357000=24×3600×5Z Z=0.83(m3/s) 即相当于0.83(m3/s)的河水,五日后才能自净去污达70%。 |