别名 乳果糖、乳酮糖、乳士糖、半乳糖基果糖苷
编码 GB 00.003
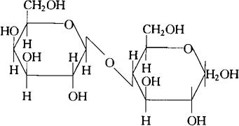
化学结构 主要成分为乳酮糖,还有乳糖、半乳糖、果糖等。

C12H22O11 相对分子质量 342.30
性状 淡黄色透明液体,有甜味,甜度为蔗糖的60%~70%,粘度在25℃时大于0.3Pa·s,与麦芽糖和蔗糖70%溶液的相似。贮存或加热后色泽加深。
制法 乳糖加水溶解后,加氢氧化钠溶液异构化制得。
质量标准

毒理学依据
1.急性毒性 大鼠按1d 20mL/kg(bw)剂量灌胃2次,总剂量47.2g/kg(bw),一周后状况良好,无死亡。小鼠按1d 0.6mL/25g(bw)剂量灌胃3次,总剂量84.96g/kg(bw),一周后状况良好,无死亡。
2.致突变试验 Ames试验、骨髓微核试验及小鼠睾丸染色体畸变试验,均无致突变性。
使用 双歧乳酸杆菌的增殖因子。
1.使用注意事项 本品能促进人体,特别是婴儿肠内对机体有益作用的双歧杆菌群的生长。据报告,本品可在体内增殖双歧杆菌27倍,在体外增殖103.6倍。
双歧菌群的生理作用有抑制致病菌的作用,其次在肠内不断产酸阻止其它有害菌的增殖,还能刺激肠道适当的蠕动,提高钙和铁的吸收,合成B族维生素,防止肠内产生腐败产物,抑制腐败发酵作用。
2.使用范围及使用量 我国《食品添加剂使用卫生标准》(GB 2760-1996)规定:以异构化乳糖干物质计,用于鲜乳、饮料(液、固体),1.5g/kg;饼干,2.0g/kg;乳粉,15.0g/kg。