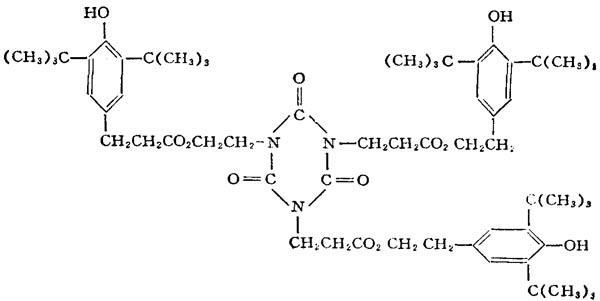
【结构式】:

【释文】:
性质 白色结晶。分子量1045.36。相对密度0.92。熔点126~131℃。溶解度(克/100克溶剂,25℃):甲醇0.3、乙醇0.7、苯49、丙酮13、氯仿35、不溶于水。
用途 本品为非污染性抗氧剂,分子量大,挥发性和迁移性小,耐久性高,适用于聚丙烯、聚乙烯、聚苯乙烯、ABS树脂、聚酯、尼龙、聚氯乙烯、聚氨酯和纤维素塑料等,在聚烯烃中抗氧效能尤佳。本品毒性极低,可用于接触食品的制品,用于聚烯烃包装材料时,在一般条件下可接触各种类型的食品。
毒性 小白鼠经口LD50>14230毫克/公斤体重。
国外商品名
