别名 帕拉金糖、异构蔗糖
编码 GB 19.003
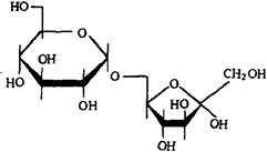
化学结构

C12H22O11·H2O 相对分子质量360.32
性状 白色结晶,无臭、味甜、甜度约为蔗糖的42%,甜味纯正,与蔗糖基本相同,无不良后味,熔点122~124℃,比旋光度〔α〕
97.2°,耐酸,耐热,不易水解(20%溶液在pH2.0时100℃加热60min仍不分解,蔗糖在同样条件下可全部水解)热稳定性比蔗糖低,有还原法,易溶于水,在水中的溶解度比蔗糖低20℃时为38.4%,40℃为78.2%,60℃为133.7%,其水溶液的黏度亦比同等浓度的蔗糖略低。本品在肠道内可被酶解,由机体吸收利用。对血糖值影响不大,不致龋齿。
制法 由蔗糖经α-葡糖基转移酶转化后,浓缩、结晶、分离制得。
质量标准

鉴别方法 在涂层色谱上的色斑Rf值与标准品相对一致。薄层色谱的条件为:
标准液和样品液:0.005g/mL(80%乙醇)
展开剂:氯仿∶甲醇∶丙酮∶乙酸=2∶3∶2∶1
显色剂:二苯胺1g,苯胺1g,丙酮50mL,85%磷酸5mL。
薄层板:用硅胶G粉6g加0.1mol/L硼酸液约15mL。涂布厚度0.3mm,室温干燥后于110℃活化1h。
点样量:1~2μL。当展开溶剂行进约15cm时取出,干燥,喷显色剂,斑点呈灰色或淡绿色,计算Rf值。
毒理学依据
本品天然存在于蜂蜜、甘蔗中、安全性高。
使用 甜味剂
1.使用注意事项
(1)本品系将蔗糖的双糖键从(1→2)转变为(1→6),亦即将非还原性双糖(蔗糖)转变为还原性双糖(异构蔗糖),其还原性约为葡萄糖的52%。不易产生褐变反应。
(2)本品甜度约为蔗糖的一半,适于低甜度糖果、糕点等使用。
2.使用范围及使用量
(1)我国《食品添加剂使用卫生标准》(GB 2760-1996)规定:可在雪糕、冰棍、糖果、糕点、饮料、饼干、面包、果酱(不包括罐头)、配制酒中按生产需要适量使用。
(2)实际使用参考:应用于焙烤食品,可按1∶1代替蔗糖,一般无需改变传统配方。若感到褐变太浅时,可适当提高熔烤温度,或添加少量果糖。