3.12.1 风压
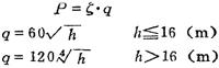
风压计算公式如下:

式中 P——风压(kg/m2=mmH2O);
q——速度压(kg/m2=mmH2O);
h——起自地面的高度(m);
ξ——风力系数(-)。
各种建筑物受到的风压如图3-139~图3-142所示。

图3-139 建筑物受到的风压

图3-140 板状建筑物风力系数(ξ)

图3-141 封闭式建筑物风力系数(ξ)

图3-142 烟囱风力系数(ξ)
3.12.2 积雪重量
积雪重量为:当积雪1厘米厚时,1平方米承受2公斤,如图3-143所示。

图3-143 积雪重量示意
3.12.3 地震力度
地震力度见表3-32和图3-144。
表3-32 地震力度表


图3-144 示意图
地震力度计算公式如下:
FG=Ci×WG
式中 FG——地震力度;
Ci——地震力度剪切系数;
WG——计算地震力度部分支撑的重量
(固定重+荷载重+积雪重)
Ci=Z·Ri·At·Co
式中 Z——根据地点确定的常数,1.0~0.7(多为1.0);
Ri——建筑物振动特性;
Ai——表示地震层剪切系数的建筑物高度方向分布数值;
Co——标准剪切系数0.2以上,地面不坚固的场所0.3以上。
求Rt时,用下式:
T=h(0.02+0.01×a)
式中 T——建筑物固有的周期(s);
h——建筑物高度(m);
;
Tc——根据建筑物地基的地质类型确定的数值(s),0.4为岩石、硬质砂土;0.8为腐质土、泥土。
求Ai时,用下式:

3.12.4 钢材的允许应力
钢材的允许应力见表3-33。
表3-33 钢材允许应力表
