网站首页  词典首页

请输入您要查询的字词:

 

字词 抽样方案的确定
类别 中英文字词句释义及详细解析
释义

抽样方案的确定


使用“σ”法时,按下述表列步骤确定抽样方案:

表9-6

使用“S”法时,确定抽样方案的步骤与使用“σ”法相同,但应把计算栏中的σ换成S,把检索抽样方案栏中的GB8054表1换成表2。

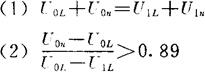
无论使用“σ”法或“S”法,采用双侧规格限时,必须满足两个条件:

随便看

 

文网收录3541549条中英文词条,其功能与新华字典、现代汉语词典、牛津高阶英汉词典等各类中英文词典类似,基本涵盖了全部常用中英文字词句的读音、释义及用法,是语言学习和写作的有利工具。

 

Copyright © 2004-2024 Ctoth.com All Rights Reserved
京ICP备2021023879号 更新时间:2025/10/17 20:51:29