通过拉伸试验可测定制品的拉伸强度、屈服应力、断裂应力、断裂伸长率和弹性模量。
(一)制备试样
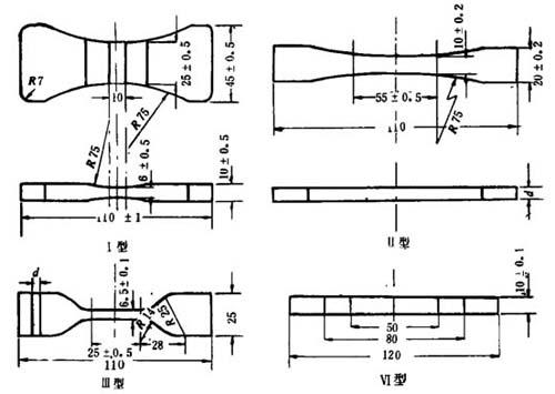
试样有四种类型。形状和尺寸见图10-3-1。试验类型和试验速度的选择见表10-3-1。

图10-3-1 拉伸试样形状和尺寸
表10-3-1 试样类型和试验速度表

(二)拉伸强度和断裂伸长率测定
以规定的速度对试样施加静态拉伸负荷直至试样断裂,记录最大负荷、屈服负荷或断裂负荷(P)和试样断裂时标线间的距离(L)。
计算:
a.拉伸强度、屈服应力、断裂应力计算

*1kgf/cm2=0.1MPa。
式中 P——负荷(10g)
b——试样工作部分宽度(cm)
d——试样工作部分厚度(cm)
b.断裂伸长率的计算

式中 ε——断裂伸长率(%)
L0——原始标线距离(cm)
L——试样断裂时标线间距离(cm)
c.弹性模量计算
测定弹性模量时,可以一定间隔记录负荷和相应的伸长,绘制应力应变曲线,或用自动记录装置直接绘制应力应变曲线。应力应变曲线的初始直线部分的斜率即为弹性模量E:

式中 σ——直线上一点的应力(kgf/cm2)
ε——直线所取点的应变
E——弹性模量
硬质聚氯乙烯在0~40℃的温度范围内,拉伸强度有下面的关系:
σc(23)=σt+6.25(t-23)
式中 σc(23)——23℃时的拉伸强度(kgf/cm2)
σt——t℃时的拉伸强度(kgf/cm2)
6.25——拉伸强度的温度修正系数。
t——试样温度℃
有关塑料拉伸实验方法,详见GB1040-79。