网站首页  词典首页

请输入您要查询的字词:

 

字词 振荡器
类别 中英文字词句释义及详细解析
释义

振荡器


放大器在没有信号输入的情况下就有信号输出,这种现象称为自激振荡,简称自激。

放大器产生自激的相位条件是放大电路中存有正反馈,即反馈信号与输入信号同相。振幅条件是反馈到放大器输入端的电压幅值必须大于或等于放大器的原输入电压的幅值。

对于自激振荡的频率和幅值加以选择和控制就构成振荡器。振荡器由放大电路,反馈网络和选频网络三部分组成。只对某一特定频率(f0)的信号有所反映的电路就是选频网络。

根据输出波形的不同,振荡器可分为非正弦波振荡器和正弦波振荡器,正弦波振荡器又可分为RC振荡器和LC振荡器。

1.RC振荡器

RC振荡器有移相式、桥式、双T选频网络式等形式。

(1)移相式RC振荡器的频率计算

移相式RC振荡器是利用RC移相电路对某一频率产生180°的相移以满足振荡的相位条件,因此至少需要三级RC移相电路。RC移相电路具有移相、选频双重特性。

移相式RC振荡器具有电路简单、经济等优点。但选频作用差,振荡不够稳定,频率调节不方便。因此一般用于频率固定且稳定性要求不高的场合,其频率范围为数十千赫以下。

图3-24为移相式RC振荡器电路。

图3-24 移相式RC振荡器

移相式RC振荡器的频率计算为:

式中 f0——振荡频率(Hz);

R——选频电阻(Ω);

C——选频电容(F)。

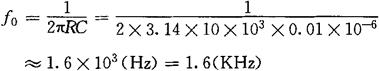
(2)桥式RC振荡器的频率计算

桥式RC振荡器由RC串并联网络所组成的文氏电桥和两级共射放大器(同相放大器)组成。RC串并联网络不仅有选频作用,而且起正反馈作用。

为满足振幅平衡条件,桥式RC振荡器放大环节的电压放大倍数Au必须大于3。对于两级放大器,其Ku>3是很容易实现的。

桥式RC振荡器比移相式RC振荡器的频率和幅度稳定性高,波形失真小、频率调节方便,所以广泛应用于低频(音频,1Hz~1MHz)振荡器中。

桥式RC振荡器中引入电压串联负反馈的作用是减小波形失真和提高输出幅度的稳定性。通常采用具有负温度系数的热敏电阻作为反馈电阻RF,可取得较好的效果。

图3-25为桥式RC振荡器电路。

图3-25 桥式RC振荡器

桥式RC振荡器的频率计算为:

式中 f0——振荡频率(Hz);

R——选频电阻(Ω);

C——选频电容(F)。

[例3-10] 在图3-25所示的桥式RC振荡器的电路中,已知R=10kΩ,C=0.01μF,试求振荡器的振荡频率f0

[解] 振荡频率

2.LC振荡器

LC振荡器有变压器耦合式、电感耦合式、电容耦合式等形式。

(1)变压器耦合式LC振荡器的频率计算

图3-26为变压器耦合式LC振荡器的电路。

(a)电路

(b)交流等效电路

图3—26 变压器耦合式振荡器

变压器耦合式LC振荡器以变压器作为反馈元件,L、C组成选频网络。L2为反馈绕组,其作用是把交流信号经C1反馈到放大器的输入端;Ce的作用是提供交流通路。

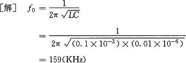
变压器耦合式LC振荡器的振荡频率为几十赫至几百千赫。其频率的计算为:

式中 f0——振荡频率(Hz);

L——变压器一次侧电感(H);

C——并联电容(F)。

(2)电感耦合式LC振荡器的频率计算

图3-27为电感耦合式LC振荡器的电路。

(a)电路

(b)交流等效电路

图3-27 电感耦合式振荡器

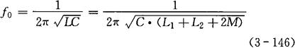
电感耦合式LC振荡器又叫哈脱莱振荡器,它以一只带抽头的电感线圈(自耦变压器)为反馈元件,直接从选频网络LC回路上引出一部分电压作为电路的正反馈。由图3-27(b)所示的交流等效电路得知,电感L有三个引出端点,所以电感耦合式IC振荡器又叫电感三点式振荡器。电感耦合式LC振荡器的振荡频率为几兆赫。其频率计算为:

式中 f0——振荡频率(Hz);

L——选频网络LC回路的总电感,L=L1+L2+2M,M为L1与L2之间的互感(H);

C——并联电容(F)。

(3)电容耦合式LC振荡器的频率计算

图3-28为电容耦合式LC振荡器电路。

(a)电路

(b)交流等效电路

图3-28 电容耦合式振荡器

电容耦合式LC振荡器的正反馈信号可取自电感支路,也可取自电容支路,当反馈信号取自电容支路时,就构成了电容耦合式LC振荡器,也叫考毕兹振荡器。

图3-28为电容耦合式LC振荡器的交流等效电路。由于电容不能在中间抽头,所以用两只电容C1和C2串联代替C,三个端点分别与晶体三极管三个电极相联,所以电容耦合式LC振荡器又叫电容三点式振荡器。反馈电量通过电容C1和C2的分压获得,反馈的强弱由C1和C2的比值决定。电容耦合式LC振荡器的振荡频率为几兆赫。振荡器的频率计算为:

式中 f0——振荡频率(Hz);

L——并联电感(H);

C——选频网络LC回路的总电容,

[例3-11] 在图3-26所示的变压器耦合LC振荡器的电路中,已知L=0.1mH,C=0.01μF,试求振荡器的振荡频率f0

随便看

 

文网收录3541549条中英文词条,其功能与新华字典、现代汉语词典、牛津高阶英汉词典等各类中英文词典类似,基本涵盖了全部常用中英文字词句的读音、释义及用法,是语言学习和写作的有利工具。

 

Copyright © 2004-2024 Ctoth.com All Rights Reserved
京ICP备2021023879号 更新时间:2025/10/17 16:35:31