网站首页  词典首页

请输入您要查询的字词:

 

字词 旁支的一般理论
类别 中英文字词句释义及详细解析
释义

旁支的一般理论


现在来讨论声波沿无限长的刚性管导传播的现象,以做为声学滤波理论的预备。旁支的作用是使该截面的声阻抗不同于平面波的阻抗值ρc/s,因而发生反射波。此外,部分入射声能传入旁支中消耗一部分。这两个因素就使得声波通过旁支以后的管导时,降低了声能。

图11.3-5代表均匀截面S的管导,并接以输入声阻抗为ZAb的旁支。

图11.3-5 具有声阻抗为ZAb的旁支

若平面波

Pi=Piej(ωt-kx) (11.3-44)

由管导左端向具有旁支前的主管方向传播,它将产生反射波:

Pr=Prej(ωt+kx) (11.3-45)

及透射波: Pt=Ptej(ωt-kx) (11.3-46)

选择截面的这一位置为x坐标原点,则这些波的声压分别为:

Pi=Piejωt

Pr=Prejωt

Pt=Ptejωt

同样,旁支入口处的声压可写成:

Pb=Pbejωt (11.3-47)

在声波沿管导传播的全部分析中,一律假定管导横截面的线度都比声波波长小,因此,在交接处应用:

Pi+Pr=Pt=Pb (11.3-48)

对应的体积速度为:

(11.3-49)

体积速度连续的条件要求

以(11.3-48)式除(11.3-50)式就得到

写成比较简单的方程,即

式中

ZA代表入射和反射波在旁支处总的声阻抗,ZAt为透射波的声阻抗。(11.3-51)式表明,管导在旁支的输入阻抗等于旁支阻抗ZAb及延续管导的阻抗ZAt的并联值。有旁支的无限长管导的电学类比,是在无限长传输线的两导线上跨接电阻抗Z,如图11.3-6所示。

图11.3-6 管导接有旁支的电学类比

更普遍的情况是主管导不为无限长,而是接以ZAl的终端。

从(11.3-51)式可解出反射波对入射波的声压振幅比为:

联立(11.3-52)与(11.3-48)式,可得到透射波对入射波的声压比为:

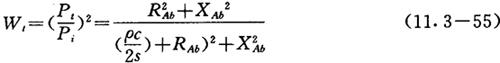
在推导功率反射比与透射比时,以ZA=RAb+jXAb代表旁支阻抗,会更方便得到的功率反射比为:

沿管导的功率透射比为

透射到旁支中的功率对入射波的功率比为:

Wb=1-Wr-Wt

当RAb及XAb均为零时,Wt=0,即通过接口处面沿主管导传递的功率为零。这表示接口处没有吸收,而是把入射波能100%地向声源端反射的滤波器。若RAb>0,但不是无限大,则在旁支中要消耗一部分声能,另一部分透入接口右边的主管导,其相对比例要根据XAb的具体数值而定。相反的极端是RAb与XAb都比ρc/s大得多,这时入射功率几乎100%地透过支管以后的主管导。RAb=XAb=∞的极限情况,相当于不存在旁支。当然功率透射比就等于1。此外,若RAb=0,表示在旁支中不会消耗声功率。

【参考文献】:

[1]IEC—327,Precision method for pressure calibration or one—inch standard condenser microphones by the reciprocity technique. 1971.

[2]1EC—486,Precision method for free—field calibration of one inch standard condenser microphones by reciprocity technique, 1974.

[3]IEC—150.Testing and calibration of ultrasonic therapeutic equipment, 1963.

[4]GB 3223-82,水声换能器的自由场互易校准

[5]GB 3785-83,声级计的电,声性能及测量方法

[6]GB 7341-87,听力计

[7]GB 7614-87,校准测听耳机用宽频带型仿真耳

[8]GB 7342-87,测听耳机校准用IEC临时参考耦合腔

[9]OIML R102,声校准器

[10]JJG 188-90,声级计

[11]JJG 698-90,积分声级计

[12]标准电容传声器有关国家标准及检定规程

[13]JJG 388-85,听力计

随便看

 

文网收录3541549条中英文词条,其功能与新华字典、现代汉语词典、牛津高阶英汉词典等各类中英文词典类似,基本涵盖了全部常用中英文字词句的读音、释义及用法,是语言学习和写作的有利工具。

 

Copyright © 2004-2024 Ctoth.com All Rights Reserved
京ICP备2021023879号 更新时间:2025/10/16 11:59:23