工资标准是指按一定的工作时间各等级职工规定的工资数额,可以分为小时、日和月工资标准三种。建筑业职工一般实行日工资标准和月工资标准。
①日工资标准的计算 各级工人的日工资标准按如下公式算:

说明:全年法定工作日为全年天数(365)减去星期日(52天)及法定节假日(7天,其中元旦1天、“五一”1天、“十一”2天、春节3天)。
根据我国建筑安装工人的工资等级分为八级制,详见建筑安装工人日工资标准表(表3-1)
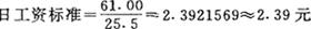
[计算例〕 计算四级工的日工资标准。

②日工资等级差单价 各级工资差别的比率称为工资级差。在实行等级工资制度下,根据技术水平、劳动熟练程度的不同要求,把同一工种划分为若干个不同的劳动技术等级(1)。再根据劳动者的技术水平和熟练程度确定工资级别。
日工资差单价是指按一级工的工资标准和工资等级系数所求得的各级工资标准。
[计算例] 如六类地区建筑安装工人日工资级差单价分别为
一级工 1.45×1=1.45元
二级工 1.45×1.193=1.73元
三级工 1.45×1.407=2.04元
四级工 1.45×1.648=2.39元
五级工 1.45×1.945=2.82元
六级工 1.45×2.269=3.29元
七级工 1.45×2.621=3.80元
八级工 1.45×3.00=4.35元