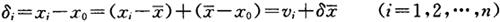
对某量x0在相同条件下多次独立测得
x1,x2,…,xn
则计算单次测量标准差σ可用如下方法。
1.贝塞尔法
对第i次测量而言,其误差

式中vi为第i次测量的残差,
为平均值
的误差。
将各式平方和,得
两端除n,注意

得

平均值误差
可用其标准差
代替,因

式中σ为单次测量标准差,故

这就是贝塞尔公式,此法算标准差即为贝塞尔法,它由残差

可算单次测量标准差σ及平均值标准差

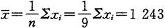
〔例2.4-6〕 对某物理量独立测9次,得值

则其最佳值

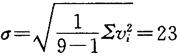
算出各次测量值xi的残差
如上,于是由贝塞尔公式,单次测量标准差

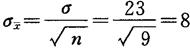
平均值标准差

2.彼得斯法
对样本平均误差

可算出其期望

于是单次测量标准差

此即彼得斯公式,它可由v取绝对值求和以算出σ。
〔例2.4-7〕 测量所得值同例2.4-6,按彼得斯公式

3.极差法
对极差
wn=maxxi-minxi
可求得其期望
Ewn=dnσ
而单次测量标准差

式中dn的数值如表2.4-1。
表2.4-1 极差dn表

〔例2.4-8〕 测量所得值同例2.4-6,按极差法,因
w9=1258-1189=69
由n=9查上表得dn=2.97,故

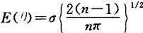
4.最大误差法
有时,可以预先知道某量的约定真值,从而可在多次独立测量后,算出误差δi,因max|δi|的期望
E(max|δi|)=Knσ
故单次测量标准差

式中1/Kn的数值如表2.4-2。
表2.4-2 最大误差
表

〔例2.4-9〕 在30t处用检衡车检轨道衔10次,读数为

因检衡车30t是高精度测得的,可视作真值,于是上述读数与30t之差即为误差,而
max|δi|=15kg
从而

5.最大残差法
对各次残差v1,v2,…,vn,找出max|vi|,因期望
E(max|vi|)=K′nσ,故单次测量标准差

式中1/K′n的数值如表2.4-3。
表2.4-3 最大残差Kn-1表

〔例2.4-10〕 对某量测4次,得
1.70,1.57,1.37,1.71
则
,因
max|vi|=0.22
故

6.分组极差法
对某量独立测m组,每组n次,得
x1(j),x2(j),…,xn(j),(j=1,2,…,m)
算各组极差
w(1),w(2),…,w(m)
平均极差

而单次测量标准差

式中c值如表2.4-4。
表2.4-4 分组极差c值表

〔例2.4-11〕 只对某量独立测m=10组,每组测n=3次,各组极差分别为
w(1)=0.063 w(6)=0.080
w(2)=0.077 w(7)=0.043
w(3)=0.068 w(8)=0.055
w(4)=0.066 w(9)=0.029
w(5)=0.047 w(10)=0.047
平均极差

而单次测量标准差

【参考文献】:
[1]王立吉,计量学基础,中国计量出版社,1988。
[2]BIPM、IEC、IFCC,IUPAC,IUPAP,OIML,Guide to the Expression of Uncertainty in Measurement, ISO,1993.
[3]刘智敏,不确定度原理,中国计量出版社,1993。
[4]刘智敏,误差分布论,原子能出版社,1988。
[5]刘智敏,误差与数据处理,原子能出版社,1983。
[6]Liu Zhimin(刘智敏),Measurement Uncertainty and Its Correlation Combination,Proceeding of ISEM, 1993.
[7]国家计量总局量值传递处编,计量技术考核纲要,计量出版社,1981。
[8]国家技术监督局审定,刘智敏等编审,全国计量检定人员考核统一试题集第六分册三,误差及数据处理,陕西科学技术出版社,1990。