网站首页  词典首页

请输入您要查询的字词:

 

字词 模具主要零件的计算
类别 中英文字词句释义及详细解析
释义

模具主要零件的计算


1.径向尺寸的计算

(1)整形模和成型模

整形可分为正整形和负整形。所谓正整形即留有整形余量的整形;负整形是不留整形余量,靠压件变形产生挤压作用的整形。表6.2-11列出了不同整形方法的阴模孔径和芯棒外径的计算公式。

表6.2-11 不同整形方法的阴模孔径和芯棒外径的计算公式

注:1.当压件为非旋转体时,凸面和平面均按外径D公式计算,凹面则按内径d公式计算。

2.表中的c、g、δ1、δ2、△1和△2值分别见表6.2-12~表6.2-17。

表6.2-12 铁、铜基压坯的烧结收缩率c

表6.2-13 铁、铜基压坯的径向回弹率g

表6.2-14 外箍内时的整形余量和回弹量 (mm)

表6.2-15 内胀外时的整形余量和回弹量 (mm)

表6.2-16 外箍内胀时的整形余量和回弹量 (mm)

表6,2-17 全整形时的整形余量和回弹量 (mm)

(2)模冲

不论对成型模或整形模,模冲的外径D和模冲内径d的计算公式均为

D=D阴平均-e平均

d=d芯平均+e平均

式中 D阴平均——阴模孔径的平均尺寸(mm);

d芯平均——芯棒外径的平均尺寸(mm);

e平均——配合间隙的平均值(mm)。成型模模冲的配合可选用表6.2-18所推荐的种类,整形模模冲的配合间隙应比成型模的大。

表6.2-18 成型模模冲配合种类

2.轴向尺寸的计算

(1)装粉高度的计算(图6.2-1)

图6.2-1 阴模高度计算

装粉高度与装粉体积V0(cm3)有关,而装粉体积取决于压坯体积Vk(cm3)和压缩比ε,即(

其中ε是压坯密度与粉末松装密度之比。粉末的松装密度见表6.2-19。

表6.2-19 部分铁、铜基粉末的松装密度ρ0

对于无台阶的柱体压坯,其装粉高度的计算公式为:

h0=εhk

式中 h0——装粉高度(mm);

hk——压坯高度(mm)。

对于非柱体的其他形状如球体、锥体,可先求出其装粉体积V0,再根据相应公式求出装粉高度。

(2)模具高度的计算

①阴模高度,阴模高度由三个高度组成(图6.2-1),即

h=h0+h1+h2

式中 h——阴模高度(mm);

h0——装粉高度(mm);

h1——下模冲定位高度(mm),取10~50mm;

h2——手动模装粉高度(mm),取5~10mm;如采用自动模,则h2=0。

②芯棒长度,芯棒长度不应超过阴模上端面或略低一点,以便于自动送粉。手动模时,芯棒长度可与阴模高度相等。

③模冲高度,确定模冲高度时,应根据具体的压模结构形式,综合考虑模冲的安装定位、装粉高度的调节余地、压坯的高度以及脱模移动的距离等需要,保证有足够的压缩行程、脱模行程和适宜的定位高度。

3.阴模和模套的强度及刚度计算

(1)强度计算

设计阴模和模套的尺寸时,应根据它所受的侧压强p侧进行验算,保证阴模受到的最大应力不大于模具材料的许用应力。建立强度条件,其计算公式见表6.2-20。

表6.2-20 阴模和模套强度计算公式

(2)刚性计算

设计阴模和模套尺寸时,还应根据压坯受到阴模弹性变形恢复时,收缩引起的剩余侧压强,不得大于压坯允许的侧向(垂直于压制方向)抗压应力,建立刚性条件。即

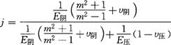
p侧剩=jp≤[σ

式中 p侧剩——剩余侧压强(MPa);

——侧压强(MPa);

[σ——压坯的侧向许用抗压强度(MPa),铁基压坯侧向许用抗压强度见表6.2-21。

表6.2-21 铁基压坯侧向许用抗压强度[σ

式中

R——阴模外半径(mm);

r——阴模内孔半径(mm)。

其中E、E分别为阴模和压坯的刚度,v、v分别为阴模和压坯的泊松比。表6.2-22为铁基压坯的E和v值。

表6.2-22 铁基压坯的E和v

对于密度在6.6g/cm3左右的铁基压坯,当时,可以不进行刚性验算,只进行强度验算;当时,则无论模壁增多厚,压坯均不能成型;当时,则应同时进行强度和刚度验算,并取其中m大的值。

随便看

 

文网收录3541549条中英文词条,其功能与新华字典、现代汉语词典、牛津高阶英汉词典等各类中英文词典类似,基本涵盖了全部常用中英文字词句的读音、释义及用法,是语言学习和写作的有利工具。

 

Copyright © 2004-2024 Ctoth.com All Rights Reserved
京ICP备2021023879号 更新时间:2025/12/11 20:54:16