每小时模具排出的热量
此热量以Qc表示之,计量单位为卡。
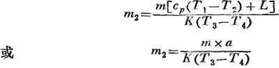
因此,Qc=m[cp(T1-T2)+L]
式中:m=每小时注射入模的塑料重量(克或磅)
cp=聚合物的比热容(卡/克℃或英国热单位/磅℉)
T1=聚合物的注射温度(℃或℉)
T2=模具温度(℃或℉)
L=聚合物的熔化潜热(卡/克或英国热单位/磅)
此外,若已知塑化物料单位重量的总热量,则:
Qc=m×a
式中:a=塑化物料的总热含量(卡/克或英国热单位/磅)
m=物料重量(如上述)
a的代表性数值列于表1-6。每小时散热所需冷却水量由下列公式计算:
Q=Km2(T3-T4)
式中:m2=流经模具的水量(克/时或磅/时)
T3=出口水温(℃或℉)
T4=入口水温(℃或℉)
Q=排热率(卡/时或英国热单位/时)
K=热传导效率的修正常数。
这种常数的某些示例数值为:
对于冷却道钻在模腔板或阳模芯的情况
K=0.64
对于冷却道钻在托模板的情况
K=0.5
对于采用镶嵌铜管的冷却道
K=0.1
就有效的冷却而言,Qc=Q
因此:
