网站首页  词典首页

请输入您要查询的字词:

 

字词 橘瓣球壳瓣片料计算
类别 中英文字词句释义及详细解析
释义

橘瓣球壳瓣片料计算


图3-123 立体图

球形贮罐按分瓣方式分为橘瓣式、足球瓣式、混合瓣式等几种,常用的为橘瓣式,如图3-124所示。其特点是球壳拼装焊缝较规则,施工简便,加快组焊进度,便于采用自动焊。由于分块分带对称,装配应力及焊接内应力较均匀。下面介绍其计算方法。

图3-124 1000m3橘瓣球体

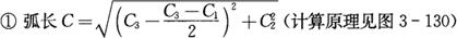
计算原理见图3-125。

图3-125 计算原理图

1.赤道带

(1)展开料计算方法(见图3-125和图3-126)

图3-126 赤道带展开图

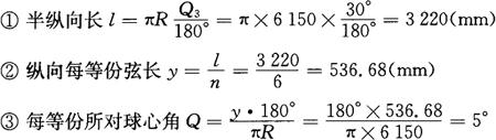
①半纵向长(mm)

②纵向每等份弧长(mm)

③每等份所对球心角

④每等份点处截圆半径Rn=R·cosnQ′1

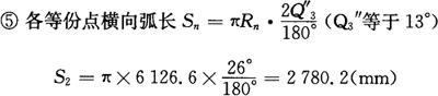
R2=6150×cos5°=6126.6(mm)

同理得:

R1=6150mm,R3=6056.6mm,R4=5940.4mm

R5=5779.1mm,R6=5573.8mm,R7=5320.1mm。

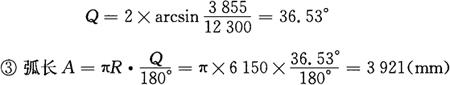
⑤各等份点横向弧长(赤道带分12瓣片,每片球心角为30°)

同理得:

S1=3220mm,S3=3171.2mm,S4=3110.4mm,

S5=3025.9mm,S6=2918.4mm,S7=2788.7mm。

⑥上口展开半径P7=R·tan(Q2+Q3)=6150×tan60°=10652.1(mm)

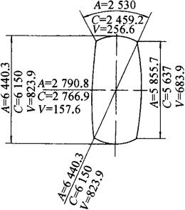
(2)成形后尺寸计算方法(见图3-127)

图3-127 赤道带成形后尺寸

1)端口尺寸

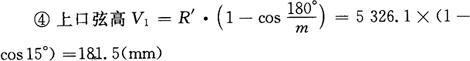
①上口截圆半径R′=R·cosQ1=6150×cos30°=5326.1(mm)

2)纵向尺寸

②弦长C2=2R·sinQ1=12300×sin30°=6150(mm)

③弦高V2=R·(1-cosQ1)=6150×(1-cos30°)=823.9(mm)

3)对角线尺寸

4)中横向尺寸

式中 Q1——赤道带半球心角;

Q2、Q3——分别为温带和极带球心角;

R——球内半径;

m——赤道带瓜瓣数,本例m=12

2.温带

(1)展开料计算方法(见图3-127和图3-128)

图3-128 温带展开图

④每等份点处截圆半径Rn=R·cos(Q′1+nQ′2)

R7=6150×cos30°=5326.1(mm)

R8=6150×cos35°=5037.8(mm)

同理得:

R9=4711.2mm,R10=4348.7mm,R11=3953mm,R12=3527.5mm,R13=3075mm。

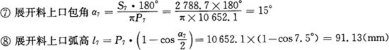
⑤各等份点横向弧长(温带分12等份,每等份30°)

同理得:

S8=2637.8mm,S9=2466.8mm,S10=2277mm,

S11=2069.8mm,S12=1847mm,S13=1610mm。

⑥上口展开半径P13=R·tanQ3=6150×tan30°=3550.7(mm)

(2)成形后尺寸计算方法(见图3-129)

图3-129 温带成形后尺寸

1)上端口尺寸

①截圆半径R″=R·cos(Q1+Q2)=6150×cos60°=3075(mm)

2)下端口尺寸

同赤道带端口尺寸。

3)纵向尺寸

4)对角线尺寸

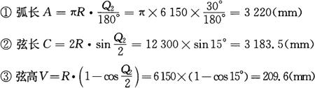
图3-130 对角线弦长计算原理图

②对角线所对球心角(由弦长式推导而得)

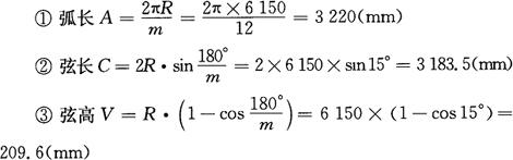
3.极板

(1)中央板(见图3-131)

图3-131 极带中央板

1)展开料计算方法

④各等份点处截圆半径Rn=R·cosnQ

R2=6150×cos5°=6126.6(mm)

同理得:

R1=6150mm,R3=6056.6mm,R4=5940.45mm,

R5=5779mm,R6=5573.8mm,R5=5326mm。

同理得:

S1=2790.8mm,S3=2748.4mm,S4=2695.7mm,

S5=2622.5mm,S6=2529.3mm,S7=2416.9mm。

⑥端口展开半径P13=R·tanQ3=6150×tan30°=3550.7(mm)

2)极带中央板成形后尺寸计算方法(见图3-132)

图3-132 极板中央板成形后尺寸

①端口尺寸:

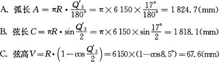
A.极板截圆半径R′=R·sinQ3=6150×sin30°=3075(mm)

②两侧角部间纵向尺寸

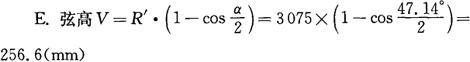
C.弦高V=R·(1-cosα)=6150×(1-cos27.28°)=683.9(mm)

③中横向尺寸:

B.弦长C=2R·sinQ3″=2×6150×sin13°=2766.9(mm)

C.弦高V=R·(1-cosQ3″)=6150×(1-cos13°)=157.6(mn)

④对角线(纵中线)尺寸:

B.弦长C=2R·sinQ3=12300×sin30°=6150(mm)

C.弦高V=R·(1-cosQ3)=6150×(1-cos30°)=823.9(mm)

(2)边板(见图3-133)

图3-133 极带边板

1)边板左部分

④每等份点所处截圆半径Rn=R·cosQn

R2=6150×cos4.5461°

=6130.65(mm)

同理得:

R1=6150mm,R3=6072.73mm,R4=5976.6mm,R5=5842.85mm,R6=5672.35mm,R7=5466.15mm。

同理得:

S1=912.4mm,S3=900.9mm,S4=886.6mm,

S5=866.8mm,S6=841.5mm,S7=811mm。

2)边板右部分

②每等份弧长y(同边板左部分的计算)。

③每等份所对球心角Q(同边板左部分的计算)。

④各等份点所处纬圆半径Rn(同边板左部分的计算)。

⑤各横向弧在其截圆上的圆心角λn(左部分皆为8.5°,而右部分各异)。

式中 Q——中线一等份所对球心角,从边板左部分已知为4.5461°;为定值。

同理得:

λ3=7.212°,λ4=5.482°,λ5=2.779°,

λ6=-1.376°,λ7=-8.5°

⑥各等份点横向弧长(Rn同边板左部分的Rn)

同理得:

S2=875.8mm,S3=764.4mm,S4=571.8mm,

S5=283.4mm,S6=136.3mm,S7=811mm。

3)极板边板成形后尺寸(见图3-134)

图3-134 极板边板成形后尺寸

①左部分纵向尺寸

C.弦高V1=R·(1-cosβ)=6150×(1-cos27.276°)=683.9(mm)

②右部分纵向尺寸

C.弦高V2=R·(1-cosβ)=6150×(1-cos21.44°)=425.6(mm)

③横中线尺寸

④右部分大小弧长

A.极板的截圆半径R″=R·sinQ3=6150×sin30°=3075(mm)

随便看

 

文网收录3541549条中英文词条,其功能与新华字典、现代汉语词典、牛津高阶英汉词典等各类中英文词典类似,基本涵盖了全部常用中英文字词句的读音、释义及用法,是语言学习和写作的有利工具。

 

Copyright © 2004-2024 Ctoth.com All Rights Reserved
京ICP备2021023879号 更新时间:2025/10/17 15:18:16