网站首页  词典首页

请输入您要查询的字词:

 

字词 正态总体方差σ2的假设检验
类别 中英文字词句释义及详细解析
释义

正态总体方差σ2的假设检验


1.μ已知

(1)

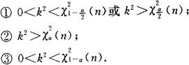
H1:①

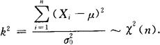
(2)统计量

(3)给出α,H0的拒绝域(小概率事件)

2.μ未知

(1)

H1:①

(2)统计量

(3)给出α,H0的拒绝域(小概率事件)

随便看

 

文网收录3541549条中英文词条,其功能与新华字典、现代汉语词典、牛津高阶英汉词典等各类中英文词典类似,基本涵盖了全部常用中英文字词句的读音、释义及用法,是语言学习和写作的有利工具。

 

Copyright © 2004-2024 Ctoth.com All Rights Reserved
京ICP备2021023879号 更新时间:2026/4/17 12:14:32