网站首页  词典首页

请输入您要查询的字词:

 

字词 比相法
类别 中英文字词句释义及详细解析
释义

比相法


上述几种测量法的终端测量仪都是电子计数器,测量时的取样时间由计数器本身提供。但一般计数器最大只能提供10s,个别的可达100s甚至1000s。如要求取样时间再长,比如1小时、1天以上,则上述测量方法就无法满足,于是就产生了比相法。

1.工作原理

被测频标与参考频标的输出波形均为正弦形,可用下列函数表示:

ux(t)=ArsinΦx(t)

ur(t)=ArsinΦr(t)

设两频标的瞬时频率分别为fx(t)和fr(t),标称值均为f0;则在某一时刻t1开始的一段时间间隔τ内的平均频率分别为:

两者的相对平均偏差

相位和频率的关系为

Φx(0)与Φr(0)为各自在t==0时相位。

瞬时相位差

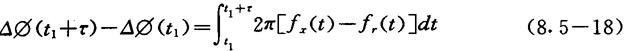
在某一时刻t1开始,一段时间间隔τ内的相位差的变化量为

与(8.5-17)式联立,可得

ΔΦ(t)的单位是弧度,2πf0的单位为弧度/秒

的单位为秒,通常用x(t)表示这一量,称为相位时间,即以时间单位表示的相位差。于是有:

这就是比相法测频的基本公式。

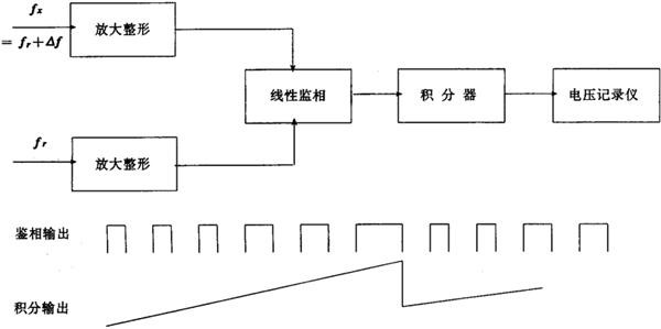
比相仪的组成如图8.5-6所示

图8.5-6 比相法测频

具有相同标称频率的两路信号经放大整形后送到鉴相器,鉴相器输出宽度变化的脉冲列,脉冲宽度与两信号的相位差成正比,脉冲的重复周期等于输入信号的周期。电压积分器把鉴相器输出变成连续变化的直流电压信号,电压幅度与脉冲宽度从而与两信号的相位差成比例。电压记录仪为笔式纸带型记录器。记录仪上记录的电压变化曲线即为相位差变化曲线,直接用相位时间表示。满度代表360相位差,对应的相位时间,等于输入信号的周期。

2.测量分辨率

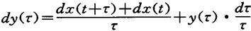
由(8.5-19)式得出总的测量不确定度为:

第一项为相位差测量不确定度,第二项为取样时间不准引入的误差。

x(t)的不确定度主要来自鉴相器噪声的影响、非线性误差以及记录仪的读数的最小分辨刻度。第一项的影响即为比相法的测量分辨率。它还与被测信号的周期有关。最后分辨率可以写成

a为记录仪读数分辨率,最小读数与满度之比。

T0为比相信号的周期

例:若a=10%,T0=200ns(比相频率为5MHz)

则dy(τ)=4ns/τ

若τ=1天,则dy(τ)≈4.4×10-14

【参考文献】:

[1]王义遒等,量子频标原理,科学出版社,1986。

[2]吴守贤等,时间与频率,科学出版社,1983。

[3]黄秉英等,时间频率的精确测量,计量出版社,1986。

[4]王江现代测量技术,计量出版社,1987。

[5]P. Kartaschoff ,Frequency and Time,Academic Press ,1978.

[6]J. A. Barnes et al. ,Characterization of frequency stability, IEEE Trans Instrum Meas. IM —20,p.105—120,1971.

[7]Time and frequency:Theory and Fundamentals,NBS Manograph 140,1974.

[8]D. W. Allan ,The measurement of fruquency and frequency stability of precision oscillator,Proc.6th Ann PTTI Planning Meeting.

[9]Annual Report of the BIPM Time Sectina,1974.

随便看

 

文网收录3541549条中英文词条,其功能与新华字典、现代汉语词典、牛津高阶英汉词典等各类中英文词典类似,基本涵盖了全部常用中英文字词句的读音、释义及用法,是语言学习和写作的有利工具。

 

Copyright © 2004-2024 Ctoth.com All Rights Reserved
京ICP备2021023879号 更新时间:2026/4/24 21:47:49