1.校核的原理
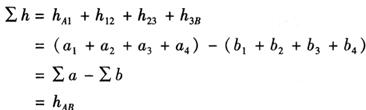
如图2-17所示,后视读数为a,前视读数为b,根据上文,每个测站所观测前视、后视两点的高差分别为:
hA1=a1-b1
h12=a2-b2
h23=a3-b3
h3B=a4-b4
将以上各式等号的左右两边分别相加:

即水准路线首尾两点的高差,为各后视读数之和与各转点前视读数之和的差。
注意中间点的前视读数不能加进去计算。

图2-17 水准测量手簿的校核原理
2.校核注意事项
1)中间点只有前视读数而无后视读数,在求∑b时,中间点的前视读数应予以剔除,不能加在一起。
2)这一校核,只能检验手簿的计算整理有无错误,但不能鉴别水准测量成果是否有误(如读尺是否读错等),也不能检查测量结果是否精确。
3)高差法及视线高法测高程,记录手簿的校核原理和方法均相同。