网站首页  词典首页

请输入您要查询的字词:

 

字词 水的软化
类别 中英文字词句释义及详细解析
释义

水的软化


当水质检验,发现水的硬度或碱度超标,水中溶解的盐类含量高时,饮料生产用水必须进行软化。软化就是去除水中呈现碱度和硬度的物质,包括钙、镁和钠的碳酸盐、重碳酸盐和氢氧化物。当水中的铁、锰含量高时,往往使水产生金属味,并容易呈色反应和生成沉淀物,因此特别是在生产碳酸饮料时,需要去除超标的铁、锰杂质。

另一方面,锅炉用水的处理很有必要,也是非常普遍的。锅炉用水硬度太高时十分有害。因为经过长期烧煮后,水中的钙盐和镁盐会在锅炉内结成锅垢,使锅炉内的金属管道的导热能力大为降低,不但浪费燃料,并会使管道局部过热,当超过金属许用的温度时,锅炉管道将变形或损毁,严重时还会引起锅炉爆炸的事件。为此锅炉用水也必须进行软化,去除水中的盐类,防止生成锅垢,必要时还要除氧和氯,避免引起腐蚀。饮料工业用水常用沉淀法(药剂法)、脱盐法(离子交换、电渗析和反渗透)等方法进行软化。

(一)药剂软化法

药剂软化法也称沉淀法,在水里加入适当的药剂,使溶解在水里的钙、镁盐转化为几乎不溶于水的物质,生成沉淀从水中析出,从而降低水的硬度,达到软化水的目的。常用的药剂有石灰、纯碱和磷酸三钠等。根据对水质的要求,可以用一种药剂,也可以同时用几种药剂。对于碳酸盐硬度较高、非碳酸盐硬度低的原水,可以考虑用石灰(CaO)软化。石灰软化主要是为了去除水中的Ca2+、Mg2+,去除部分铁和硅的化合物。经过石灰软化后,水中暂时硬度大部分被去除,残留暂时硬度可达到20~40mg/L,残留碱度可降至40~60mg/L。有机物去除率25%,硅化合物去除率30%~35%,原水铁残留量可降至0.1mg/L。石灰软化水的反应过程如下:

①将石灰CaO制成石灰乳Ca(OH)2

CaO+H2O→Ca(OH)2

②由石灰乳与水中的重碳酸钙(碳酸氢钙)Ca(HCO3)2、重碳酸镁Mg(HCO3)2和碳酸镁MgCO3起反应,生成沉淀。水中CO2必须先反应去除后才能进行水的软化过程:

CO2+Ca(OH)2→CaCO3H↓(2O

Ca(HCO3)2+Ca(OH)2→2CaCO32H↓(2O

Mg(HCO3)2+Ca(OH)2→Mg(OH)2CaCO↓(3/p>

MgCO↓(3

+Ca(OH)2→Mg(OH)2CaCO↓(3/p>

石灰还可以与水中的硫酸镁或氯化镁起反应,生成氢氧化镁沉淀或硫酸钙或氯化钙,这样将由Mg2+所形成的水的硬度转化为由Ca2+所形成的水的硬度。

当水中碱度大于硬度时,还会出现如下反应:

2NaHCO↓(3

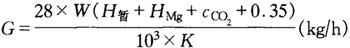
+Ca(OH)2→CaCO3Na↓(2CO3+2H2O,软化时的石灰用量可按下式计算:

式中 G——石灰消耗量,kg/h

W——需软化的水量,t/h

H——原水的暂时硬度,mmol/L

HMg——原水的镁硬度,mmol/L

cCO2——原水中游离的CO2量,mmol/L

0.35——石灰过剩量

K——工业用石灰纯度,一般60%~80%

28——CaO的当量

根据经验,原水暂时硬度每降低一度时的纯石灰消耗量约为10g/m3水,水中CO2浓度每降低1mg/L时需纯石灰1.27g/m3水。

加入纯碱(Na2CO3),可以去除由Ca2+所形成的水的硬度。

(二)离子交换法

离子交换法是用离子交换剂软化水的一种方法。离子交换剂包括天然浮石或人造浮石、磺化煤和离子交换树脂等。饮料常用离子交换树脂进行水的软化。

1.离子交换树脂的种类

离子交换树脂是不溶于水的酸基或碱基,具有酸基性质者称为阳离子交换树脂,具有碱基性质的树脂称为阴离子交换树脂。两者均有强性和弱性之分。形状为不整齐的粒状或球状,也有薄膜状和板状的。离子交换树脂分类如表1-1-16所示。

表1-1-16 离子交换树脂分类

特殊离子树脂中,两性离子交换树脂如H2N-R-COOH,在同一基体中结合阴、阳两种离子交换基。与蛋白质一样,在从等电点到高pH的范围内可以进行阳离子交换,而在低pH范围内进行阴离子交换,但不会同时吸附两种树脂。

螯合树脂在交换基中能形成螯合或络合离子,仅能选择某种特定的离子。

氧化还原树脂进行电子交换,基体上具有氧化还原性的活性基,或在普通树脂中吸附氧化还原性的离子。

离子交换膜分有不均相膜和均相膜两种。不均相膜是用聚乙烯、聚氯乙烯、聚甲基丙烯酸甲酯等热可塑性的黏合剂将微粉状离子交换树脂成形为薄膜状或板状而成的。均相膜是将树脂加工成膜状,根据交换基的种类有阴阳、强弱等类型,都具有电传导性和离子选择透过性等性质,用作电渗析的隔膜,或用于膜电位的离子活量的测定。

2.离子交换树脂的特性

(1)阳离子交换树脂

①强酸性阳离子交换树脂:高分子聚合体中附加酸性基的阳离子交换树脂是用其他阳离子(普通氢离子)置换有机或无机阳离子而成的。典型的是苯乙烯树脂结合磺酸基(-SO3H)的阳离子交换树脂,即H型的不溶性树脂(R·H)。磺酸基的H容易电离,酸的强度相当于硫酸。离子比交换容量(每1g或1mL树脂的离子交换捕捉的物质的量)通常为4~5mmol/g。

苯乙烯系的强酸性树脂具有物理和化学的非常稳定性,不溶于水和其他一般有机溶剂,在普通电解质溶液中可以反复吸附再生数百次。耐热性也好,在100℃左右温度下也可操作,阳离子交换反应式如下:

②弱酸性阳离子交换树脂:主要使用具有羧基(-COOH)的树脂,又称碳酸性树脂,广泛用于氨基酸、维生素等的分离和抽提等有机生化方面,交换速度比强酸性稍小,比交换容量10mmol/g。交换反应式如下:

R·COOH++NaOH→R·COO-Na++H+

(2)阴离子交换树脂

①强碱性阴离子交换树脂:树脂基体与苯乙烯系强酸性树脂相同,交换基为第四级胺碱基,离子交换可在广泛pH范围内进行。比交换容量比强酸性树脂小,一般2.5~3.5mmol/g。对酸碱、有机溶剂很稳定,热稳定性差。

②弱碱性阴离子交换树脂:第一、二、三级胺基作为交换基,弱碱基性树脂与弱酸性树脂相反,仅从酸性溶液中吸附阴离子。

3.离子交换水处理

水处理时合成树脂中的离子与水中同符号的离子进行交换,水中阳离子被阴离子树脂层吸附,树脂中的阳离子H+被置换到水中;而水中阴离子被阳离子树脂吸附,树脂中的阴离子OH被置换到水中。这样水中溶解的阴阳离子被树脂吸附,离交树脂中的H+和OH进入水中,从而使水质软化。离子交换树脂去除水中离子的原理见图1-1-1。

图1-1-1 离交去除水中离子的原理图

水处理离交树脂的选择要考虑水的用途。使用强酸性阳离子,例如钠离子树脂处理水时,由于不能降低碱度,处理水不适合用于碳酸饮料的制造,可作洗瓶用水。强酸性树脂处理水与石灰软化法获得的水质相似,可用于一般饮料的制造。再如仅用H型树脂处理的水是强酸性的,也不适合用来制造饮料。

弱酸性树脂中H+更具强的吸附性;强酸性树脂中,H+的吸附性较弱,因此产生交换作用的pH范围根据树脂的种类而有不同。各种树脂的特性见表1-1-17。

表1-1-17 离子交换树脂的特性

4.离子交换方式

离子交换通常是在离子交换柱(塔器)内进行的,根据再生时树脂层的移动状况,可以将树脂层分为固定床、移动床和流动床三种方式。离子交换的有关术语见表1-1-18。

表1-1-18 离子交换有关术语

(1)固定床 装于柱(塔器)内的离子交换树脂的离交过程,包括交换、反洗、再生、清洗,都在同一装置内间歇、反复地进行。不移动和不流动的固定树脂层称为固定床。固定床的优点是操作简单,设备少,出水质量稳定。其缺点是树脂用量多,利用率低,间歇式操作。根据组合方式固定床可分为单床、多床、复床和混床等多种交换方式,可根据用途和要求进行选择。单床仅为一种树脂床,是最简单的一种方式,常用的钠型阴离子交换即属这一方式,可达到软化硬水的目的。多床是将两个以上同一树脂床或同一系统树脂床串联而成的,用于单床离子交换不充分的场合。复床是由阳离子床和阴离子床串联而成,主要用于脱离子,如水的除盐。混床是将阴阳离子交换树脂装于同一柱内,相当于多级串联的阴阳离子柱,用于完全脱离子,处理水质量极高。用离交制造纯水的流程见图1-1-2,可根据水质状况和用途进行组合。

图1-1-2 离交制造纯水的流程

(2)移动床 移动床系统由交换柱(塔)、清洗柱(塔)和再生柱(塔)组成,交换、再生、清洗分柱进行。离交树脂在交换柱内交换一定时间(一般45~60min)后停止交换,将交换柱中一定容量的失效的交换树脂从交换柱底部送至再生柱还原,同时从清洗柱内向交换柱上方补充同容积的已还原清洗好的离交树脂,约10min后重新开始交换。因交换柱上方始终有新的交换层,故出水水质稳定,离交树脂和再生液利用率均比固定床高,缺点是树脂磨损大,耗电量高。

(3)流动床 流动床是在交换过程中不断从交换柱内向外输送失效的离交树脂,并且不断向交换柱内补充再生好的离交树脂。流动床优点是连续化,出水质量高,且稳定,设备简单,操作方便,所需离交树脂少,只是在新设备投入运行时需要一定时间进行调整。另外由于交换、再生和清洗是分开进行的,可适应任何流量、含盐量和再生性能的场合。

5.离子交换过程

(1)预处理 树脂使用时应根据用途有时要进行粉碎,筛分和干燥等预处理。分析用树脂的粒度,对于比较简单的柱操作一般50~100目,色谱分析用粒度100~200目。商品树脂在合成过程中有时会混入可溶性有机物、铁和钙等共杂物,在使用时会溶出,因此在使用前要进行清洗和再生。

强酸性树脂通常为Na型,在将树脂装入离交柱并水洗后,用树脂容积20~30倍的1~2mol/L的NaCl,以1mL/(cm2·min)的流速通过离交柱,使之成为H型。接着通入柱容积10倍左右的1~2mol/L的NaCl,还原成Na型。反复用HCl、NaCl处理1~2次,最后通过适当的电解质溶液,例如1~2mol/L的HCl、NaCl、HN4OH,再生为所需型的离交树脂(H、Na、HN4型),充分水洗。

强碱性树脂通常为Cl型,水洗后通过0.5mol/L的HCl,除去混入物Fe,并进行预处理。例如将1~2mol/L的以下溶液,用柱容积10倍以上的量,并以NaOH→(NH4)2SO4→HCl→(NH4)2SO2→NaOH的顺序,通过树脂。在碱、酸之间通过中性溶液是为了防止CO2的发生,反复操作5~6次。如果再生为OH型,可用1~2mol/L的NaOH再生后,用带碱石灰管容器中的不含CO2的水洗净,最后水洗直至离子反应为阴性。

弱酸性和弱碱性树脂吸附试剂离子慢,碱性长时间水洗,则会发生R·COONa+H2O→RCOONa+NaOH的水解反应,造成碱(酸)的流出,变为游离型,因此对于色谱分析,可用间歇法进行预处理,例如在碱(或酸)溶液中长时间搅拌后,过滤、水洗,再用酸(或碱)溶液处理,加入适当的pH缓冲液。水洗至流出液与流入液的pH一致。

(2)通液 将预处理定型后的阴阳离子交换树脂装柱,树脂量一般为柱容积的3/4。原水(或牛乳等)按一定的流速通过离子交换柱进行离子交换,处理速度SV=10L/h,SV为空间速度,即每小时通过每升树脂层的xL的流体时,SV为x。树脂交换容量与处理终点可根据处理水(液)的阳离子,例如Ca2+或阴离子例如Cl等的测定结果来判定。如果预先求得处理终点的电导率,从处理水(液)的电导率也可判断。另外通过pH的测定也可作判断,一般琥石(Amberlite)系阳离子交换树脂通液pH3以上,阳离子交换树脂pH6以下为再生期。

阴离子交换树脂的交换容量比阳离子树脂小,一般要多用20%左右的树脂。乳清脱盐时离子交换的处理液量一般用树脂床容量BV(Resine bed volume)的倍数表示,床容量为每小时处理液量与树脂体积之比。通常每一循环BV=10~15。

(3)再生 离子交换树脂在使用过程中,交换能力下降,当树脂交换能力下降至近“失效”或“老化”时,需进行再生,其机理是水处理的逆反应。再生单位体积交换材料所用的再生剂质量称为再生率。再生过程可分为:

①反洗:从交换床底部向上通液进行反洗。在反洗过程中,除清除树脂层中的尘埃和粉碎的微粒树脂外,还将树脂层一度松动使之不结块,反洗流速以使树脂层的膨胀率调整到50%~70%为宜,通常为10~15mino

②通再生液:向树脂层通入再生液,以恢复树脂的离子交换能力。阳离子树脂再生剂有硫酸、盐酸或食盐,阴离子树脂再生剂有氢氧化钠、碳酸钠等。Na型阳离子交换树脂用10%的NaCl溶液,H型用3.5%HCl水溶液,以SV=6~8L/h通液。

OH型阴离子交换树脂用2%~4%的NaOH或Na2CO3、NH4OH等的水溶液,以SV=4~8L/h的速度通液。Cl型树脂用10%的NaCl水溶液以SV=6~8L/h通液。

当再生液流向与离交运行时水的流向相同时,称为顺流再生,这种方法简单,操作方便,缺点是再生效果不理想。再生液与运行水的流向相反时称逆流再生,逆流再生的出水水质较好,但工艺较复杂。

③置换(压出):通水将树脂层空隙中残留的再生液压出,进行完全再生。置换时的水量与树脂层量相当。

④清洗:以SV=12L/h的速度冲洗。清洗终点,对阳离子无Cl反应,阴离子至pH9以下为止。清洗时间也可根据流出水的电导率来判断。

6.离交注意事项

离交特别是钠离子交换处理对原水水质的要求如下:

①原水不含苯、酸等有机化合物。

②原水呈中性(pH7左右)。

③原水中悬浮物含量<5mg/L。

④原水温度一般不超过35℃。

当原水中含有悬浮物和胶体状的铁和锰等时,应采用凝聚沉淀法预先除去这些物质,否则离子交换树脂就不能再生,而且吸附游离氯的树脂也不能再生,因此在使用自来水时应先脱氯,再进行离子交换处理。

琥石系离交树脂的部分再生条件参见表1-1-19,表中注明温度是为了溶解硅胶,其他场合的再生液均为常温。

表1-1-19 琥石系离交树脂的再生条件

7.离子交换容量的测定

每克或每毫升树脂交换固着离子的毫摩数称为离子树脂比交换容量E,用mmol/g(干树脂)或mmol/mL(湿树脂)表示。

(1)强酸性阳离子交换树脂 以磺酸基交换基的树脂为例,预处理后,用柱法再生为H型(HR),清洗、干燥后用刻度皿精确称取0.5g,与水一起移至烧杯中,加10mL 1mol/L的NaCl溶液,搅拌,用0.1mol/LNaOH溶液滴定(指示剂为甲基橙溶液)。

HR+NaCl→NaR+HCl、HCl+NaOH→NaCl+H2O比交换容量E(mmol/g)可按下式求得:

E=[NaOH浓度(mol/L)×NaOH消耗量(mL)]/树脂质量(g)

(2)强碱性阴离子交换树脂 与强酸性树脂不同,OH型树脂用中和滴定法会吸收空气中的CO2产生较大误差。变为盐型的RCl、R2SO4树脂多用柱法,经过适当的盐类溶液处理,以酸根定量。

精确称取RCl型树脂1g,装入小型柱内,滴入50~100mL的1mol/L KNO3溶液(流速1mL/min),同0.1mol/L AgNO3溶液滴定流出液的Cl(指示剂为硝酸钾溶液)。

ClR+KNO3→NO3R+KCl

R2SO4型用NaCl、NaNO3等溶液溶出,导入BaSO4,进行质量分析。

R2SO4+2NaCl→2RCl+Na2SO4

8.离子交换处理水的水质

原水经过不同离交处理后的水质见表1-1-20。

表1-1-20 不同离交处理水的水质

(三)电渗析(ED)

电渗析是一种膜技术,较多用于海水的淡化。近年来用于饮料用水的软化,由自来水或自备水源水制备初级纯水。详见第四节膜分离技术。

(四)反渗透

反渗透用于纯水制造,详见膜分离技术一节。

(五)铁、锰的去除法

水中的铁和锰含量高时,水就带金属味,容易呈色反应和生成沉淀物,在制造饮料,特别是制造碳酸饮料时,需要去除超标的铁、锰杂质。

1.除铁方法

存在于水中的铁的化合物有重碳酸铁[Fe(HCO3)2]、硫酸亚铁(FeSO4)、氢氧化铁[Fe(OH)3]和有机或胶态铁等4种形式。其中最普通的重碳酸铁,为无色、易溶于水。碳酸亚铁极少见。氢氧化铁几乎不溶于水,用过滤就可完全去除。重碳酸铁的去除方法,是在pH7以上条件下暴气,或加氯,将亚铁氧化成三价铁,成为氢氧化铁沉淀。对于有机或胶态铁可添加硫酸铝或硫酸铁,使之产生凝聚和沉淀,经过过滤去除。

2.除锰方法

锰也是多以碳酸氢盐的形式溶于水中,这种化合物在水中的溶解度比重碳酸铁大,因此暴气氧化的速度比铁慢,氧化时的pH应比除铁时高,一般为pH9~10,否则难以沉淀。处理方法有凝聚沉淀、过滤法及与锰砂和氯的接触过滤法。必须指出,天然水中的铁、锰一般不会以单一形式出现,其处理方法应在技术人员指导下进行。根据原水水质采取的铁、锰去除方法见表1-1-21。

表1-1-21 铁、锰的去除方法

随便看

 

文网收录3541549条中英文词条,其功能与新华字典、现代汉语词典、牛津高阶英汉词典等各类中英文词典类似,基本涵盖了全部常用中英文字词句的读音、释义及用法,是语言学习和写作的有利工具。

 

Copyright © 2004-2024 Ctoth.com All Rights Reserved
京ICP备2021023879号 更新时间:2026/1/17 10:45:30