网站首页  词典首页

请输入您要查询的字词:

 

字词 永固红F4R
类别 中英文字词句释义及详细解析
释义

永固红F4R


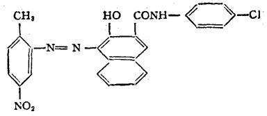
【结构式】:

【释文】:

性质 红色粉末。于浓硫酸中为黄光大红色。耐晒5~6级,耐热100℃,耐酸1级,耐碱2级,水渗性1级,乙醇渗性1级,石蜡渗性2级,油渗性2级。吸油量50±5%。

用途 本品可作为塑料用红色着色剂。遮盖力较好,适用于人造革等制品。

国内生产厂 上海染化十二厂

天津油墨厂

国外商品名

随便看

 

文网收录3541549条中英文词条,其功能与新华字典、现代汉语词典、牛津高阶英汉词典等各类中英文词典类似,基本涵盖了全部常用中英文字词句的读音、释义及用法,是语言学习和写作的有利工具。

 

Copyright © 2004-2024 Ctoth.com All Rights Reserved
京ICP备2021023879号 更新时间:2025/10/17 17:32:43