网站首页  词典首页

请输入您要查询的字词:

 

字词 烟用聚丙烯丝束的检验
类别 中英文字词句释义及详细解析
释义

烟用聚丙烯丝束的检验


(一)取样

(1)同一规格,供需双方一次交货为一批。

(2)从每批丝束中随机抽取5箱(不足5箱逐箱抽取)作为批量试样。

(3)从批量试样中,去掉每箱头部5m后,从中随机抽取20m,共抽足100m作为试验样品。

(二)单丝线密度测定

1.原理

切取一束定长消除卷曲后的中段纤维,取一定的根数称量,然后计算出单根纤维的线密度的平均值。

2.试样的采取和制备

从试验试样中随机截取50mm左右的丝束5段,然后从每段中分出约整束的2/5左右的小段纤维。

试验应在温度20℃±2℃,相对湿度65%±5%的条件下进行。

3.仪器

(1)25mm中段切断器:精确度为±0.1mm。

(2)精密扭力天平:最大称量10mg,分度值0.02mg。

(3)其他工具:镊子、剪刀、黑色绒板、乳胶手套、稀梳(10针/cm)、密梳(20针/cm)。

4.方法

(1)将试样扯松整理几遍,剪去两头的手握部分(即未开松部分),使整束纤维成开松状态。握住纤维束一端,从另一端抽取纤维,依次移置于绒板上,使纤维平行伸直成一段整齐的纤维束,宽约5~6mm。

(2)用镊子将整理好的纤维夹起,握住整齐的一端,先用稀梳后用密梳,从尖端开始逐步靠近手握端进行梳理,梳去纤维束中的游离纤维,使纤维排列整齐。

(3)抬起中段切断器夹板,分开上、下夹板,将梳理好的纤维束平行放在上、下夹板中间且与切刀垂直,双手握住纤维束两端,使纤维平行伸直,所受张力均匀,合上夹板,切断全部纤维。

(4)从所切取纤维束中点出100根纤维(剔除游离纤维和异形纤维)。

(5)用精密扭力天平称取纤维质量,精确至0.02mg。

(6)重复上述方法,共试验5次。

5.计算

单丝线密度按下式计算:

ρL=m1×4

式中 ρL——单丝线密度,dtex;

m1——中段纤维质量,mg。

单丝线密度以5次试验结果的算术平均值表示。

(三)丝束线密度测定

1.原理

丝束经一定负荷,一定时间拉伸后,截取1m长度称量,即得出丝束线密度。

2.试样的采取和制备

从试验试样中随机抽取长约1.5m的丝束10段进行检测。

试验应在温度20℃±2℃,相对湿度65%±5%的条件下进行。

3.仪器

(1)具有下列性能的丝束线密度测定仪:

拉伸负荷:丝束线密度≥4.00×104dtex时为49N±1N;

丝束线密度≤4.00×104dtex时为39N±1N。

拉伸时间:300s±1s。

切割长度:1000mm±1mm。

(2)天平:最大称量200g,感量为1mg。

(3)其他工具:铝制或玻璃试样盒、剪刀、乳胶手套等。

4.方法

(1)把丝束的一端系在处于高位的砝码上。

(2)将丝束放在两夹具之间,通过导轮用手拉伸。拉伸程度应以砝码恰好处于悬空状态为准,然后夹紧丝束另一端。

(3)300s后闭合夹具,切下丝束试样放入试样盒内。

(4)称量,精确至1mg。

(5)重复上述方法,共试验10次。

5.计算

丝束线密度按下式计算:

ρL=m×104

式中 ρL——丝束线密度,dtex;

m——丝束试样质量,g。

丝束线密度以10次试验结果的算术平均值表示。

(四)断裂强度测定

1.原理

等速伸长型(CRE)强力仪以一定的拉伸速度拉伸纤维,并指示出断裂强力,然后除以其单丝线密度,即得出断裂强度。

2.试样的采取和制备

从试验试样中随机截取约30mm长的丝束5段,从每段中随机抽取纤维20根,排在绒板上。

试验应在温度20℃±2℃,相对湿度65%±5%的条件下进行。

3.仪器

(1)等速伸长型强力仪应符合下列要求:

①有一对适合于夹持试样的夹持器,能对名义隔距为20mm(名义隔距示值误差不超过0.2mm)的试样进行试验。

②有变换不同拉伸速度的机构,启动1s后,下夹持器速度变化不超过规定速度的5%。

③有连续显示或记录施加到试样上负荷的功能。

(2)其他工具:剪刀、黑色绒板、镊子、预张力夹等。

4.方法

(1)开启强力仪电源,预热15min。

(2)调整仪器(调零与调满),将夹持距离调整为20mm并校正。

(3)调节下夹持器下降速度为40mm/min。

(4)将纤维的一端在上夹持器中部夹持住,另一端在预张力作用下(预张力为纤维名义线密度的0.5cN/tex±0.1cN/tex)夹持在下夹持器中部。操作时防止纤维意外伸长。

(5)驱动下夹持器下降,拉伸纤维直至完全断裂,若纤维打滑或从钳口处1mm内断裂,应重新试验。记录试验结果。

(6)重复上述方法,共试验50次。

5.计算

断裂强度按下式计算:

式中 C——断裂强度,cN/tex;

F——断裂强力,cN;

ρL——单丝线密度,dtex。

断裂强度以50次试验结果的算术平均值表示。

(五)卷曲数、卷曲度、卷曲弹性回复率测定

1.原理

(1)卷曲未被损坏的纤维,在其名义线密度的0.18mN/tex(2mgf/den)轻负荷张力下,单位长度内数得的卷曲峰与卷曲谷个数之和除以2,即得纤维的卷曲数。

(2)卷曲未被损坏的纤维,在其名义线密度的0.18mN/tex(2mgf/den)轻负荷张力下,测量其长度,然后在其名义线密度的8.82mN/tex(100mgf/den)的重负荷张力下,测量其长度。以单位伸直长度纤维由于卷曲而收缩的部分表示卷曲度;以施加重负荷后,纤维卷曲度的保持率表示其卷曲弹性回复率。

2.试样的采取和制备

从试验试样中剪取卷曲未被损坏的丝束5段,再将每段丝束沿轴向剪成5~6股,用镊子从每股中小心夹取一根纤维置于绒板上,不得损坏纤维的自然卷曲。

试验应在温度20℃±2℃,相对湿度65%±5%的条件下进行。

3.仪器

(1)加载精密扭力天平:最大称量1g,分度值2mg。

(2)纤维最小夹持距离20mm,下夹持器必须可以平稳下降。

(3)25mm长度指针指示长度,精确度±0.1mm。

(4)其他工具:剪刀、黑色绒板、镊子、纤维夹、放大镜(放大倍数5倍)、秒表等。

4.方法

(1)开启仪器电源,预热15min。校准扭力天平的零位和满度。

(2)用纤维夹夹取一根纤维,悬挂在扭力天平的挂钩上,用镊子将纤维的另一端置于下夹持器钳口中部,夹持住。

(3)旋动扭力天平的施力旋钮,加轻负荷张力,开启天平。

(4)驱动下夹持器平稳下降,直至平衡,30s后,记录下此时纤维长度L0

(5)转动下夹持器顶部25mm长度指针,通过放大镜分别读取25mm长度内纤维的卷曲峰与卷曲谷个数。

(6)关掉天平,旋动扭力天平的施力旋钮,加重负荷张力,开启天平。

(7)驱动下夹持器继续下降,直至平衡,30s后,记录下此时纤维长度L1

(8)关掉天平,去除负荷,使下夹持器上升到原位。

(9)2min后,用扭力天平的施力旋钮加轻负荷,再次开启天平。驱动下夹持器下降直至平衡,30s后,记录下此时纤维长度L2

(10)重复上述方法,共试验20次。

5.计算

(1)丝束卷曲数按下式计算:

式中 Jn——卷曲数,个/25mm;

Ng——25mm内卷曲峰个数,个;

Nf——25mm内卷曲谷个数,个。

(2)丝束卷曲度按下式计算:

式中 J——卷曲度,%;

L0——纤维在轻负荷作用下30s后读取的长度,mm;

L1——纤维在重负荷作用下30s后读取的长度,mm。

(3)丝束卷曲弹性回复率按下式计算:

式中 Jd——丝束卷曲弹性回复率,%;

L2——纤维在重负荷释放平衡2min后,再加轻负荷张力下30s后读取的长度,mm。

卷曲数、卷曲度、卷曲弹性回复率以20次试验的算术平均值表示。

(六)截面形状测定

1.原理

将一束纤维制成横断面薄片后,利用显微镜放大后观察纤维的截面形状。

2.试样的采取

从试验试样中随机剪取20~30mm长的丝束,取整束的1/3。

试验应在温度20℃±2℃,相对湿度65%±5%的条件下进行。

3.仪器

(1)显微镜:放大倍数400倍以上。

(2)纤维切片器:能将纤维切成极微薄片的仪器。

(3)其他工具:黑色绒板、稀梳、密梳、单面刀片、载玻片、盖玻片、5%胶棉液、甘油、蓝墨水等。

4.方法

(1)将试样扯松,基本消除卷曲。先用稀梳后用密梳梳理几遍,使纤维向一个方向排列整齐。

(2)将少量蓝墨水和5%胶棉液滴入整理后的试样上,移动丝束使其充分渗入。然后将试样放在清洁的搁架上晾干待用。

(3)旋动切片器匀给螺钉,使匀给器不与底板平面接触,将定位螺钉拉起并使匀给架转动一个角度,轻轻将左底板从右底板分离。

(4)将准备好的试样嵌入切片器右底板之狭槽内,轻轻推入左底板,使试样呈压紧状态。用刀片将外露试样割去,回复调匀给架到原位。

(5)调匀给螺钉,使试样伸出底板,用刀片沿底座下平面切下试样(切下试样以能顺利切下并尽可能薄为宜)。

(6)舍去第一片试样,重复上述方法,切取三片试样,轻轻放在载玻片上,滴上少许甘油,盖上盖玻片。

(7)选择合适的目镜和物镜,使显微镜放大倍数为400倍以上。

(8)将载玻片放到显微镜的活动载物台上,用活动夹卡牢。

(9)调整显微镜的活动工作台、反光镜、粗动手轮和细动手轮,直至观察到清晰的图像,记下纤维的截面形状。

(七)回潮率测定-箱外冷称法

1.原理

试样称量后,置于温度为105℃±2℃的烘箱内烘至恒量,试样的湿质量与干质量的差数除以干质量之比所得百分数,即为试样的回潮率。

2.试样的采取

从试验试样中随机剪取约10g的试样,及时称量。

3.仪器

(1)电热鼓风式烘箱。

(2)天平:最大称量200g,分度值1mg。

(3)称量盒:密封性好,质量已知。

(4)干燥器。

(5)剪刀、乳胶手套。

4.方法

(1)将试样放入已经恒定、质量已知的称量盒中一起称量,精确至1mg。

(2)烘箱升温调整至105℃±2℃。

(3)将已装入试样的称量盒放入烘箱,打开称量盒盖,将试样在105℃±2℃下烘90min。

(4)关闭烘箱电源,取出称量盒并迅速盖上称量盒盖,放入干燥器中冷却至室温后称量,精确至1mg。称前应瞬间打开称量盒盖再盖上。

5.计算

丝束回潮率按下式计算:

式中 R——试样回潮率,%;

m1——试样湿质量,g;

m2——试样干质量,g。

(八)含油率测定

1.原理

用化学溶剂对纤维试样进行循环萃取,然后蒸出溶剂即可得其含油率。

2.试样的采取

从试验试样中随机剪取约20g的试样,用剪刀剪成若干段,扯松并充分混合均匀。用天平称取3份质量约4g的试样,其中一份作校正含水率用,精确至0.1mg。

试验应在温度20℃±2℃,相对湿度65%±5%的条件下进行。

3.仪器

(1)脂肪抽取器。

(2)天平:最大称量200g,分度值1mg。

(3)烘箱:控温器灵敏度±1mg。

(4)恒温水浴锅。

(5)溶剂:乙醚(分析纯)。

(6)干燥器、不锈钢镊子、剪刀。

4.方法

(1)将干净的平底烧瓶放入105℃±2℃的烘箱内,烘2h后取出,放在干燥器内冷却至室温后称量,精确至0.1mg。

(2)用镊子将试样置于萃取器的萃取筒中,其高度不得超过萃取筒虹吸管高度。将乙醚注入平底烧瓶,其体积为平底烧瓶体积的1/2~3/4。安装好蒸馏装置。

(3)调节水浴锅温度,使溶剂回流次数每小时不少于9次,总回流时间不少于2h。

(4)萃取完毕,将试样取出,溶剂回收利用。

(5)将萃取后的平底烧瓶放入105℃±2℃的烘箱内,烘2h后,放入干燥器内冷却至室温称量,精确至0.1mg。

5.计算

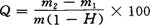
含油率按下式计算:

式中 Q——含油率(保留两位小数),%;

m1——试验前烧瓶烘干质量,g;

m2——试验后烧瓶烘干质量,g;

m——试样质量,g;

H——试样含水率,%。

(九)疵点含量测定

1.原理

从一定量的丝束中用手拣出全部影响成型的疵点并称质量,计算出疵点百分含量。

2.试样的采取

从试验试样中随机剪取一段丝束,质量约50g左右。

试验应在温度20℃土2℃,相对湿度65%±5%的条件下进行。

3.仪器

(1)天平:最大称量200g,分度值0.1mg。

(2)其他工具:剪刀、黑色绒板、镊子、放大镜(放大倍数10倍),称量瓶等。

4.方法

(1)将所取试样用天平称量,精确至1mg。

(2)试样经手扯开松后,在放大镜下观察,找出其中的疵点,并用剪刀和镊子剔出(含开松过程中脱落的疵点),放入已知质量的称量瓶中,用天平称量,精确至0.1mg。

5.计算

疵点含量按下式计算:

式中 C——疵点含量,mg/100g;

mc——疵点质量,mg;

m——试样质量,g。

(十)外观检验

1.试样的采取和制备

从试验样品中,随机抽取5m检测。

试验应在温度20℃±2℃,相对湿度65%±5%的条件下进行。

2.方法

用目测、直尺检查丝束是否有毛边、分股、污渍。

丝束带边缘连续分开宽度大于10mm、长度大于500mm为毛边。

丝束带连续分开长度大于1000mm为分股。

丝束带表面不洁或有色差纤维长度大于3mm或不足3mm已有2点以上为污渍。

随便看

 

文网收录3541549条中英文词条,其功能与新华字典、现代汉语词典、牛津高阶英汉词典等各类中英文词典类似,基本涵盖了全部常用中英文字词句的读音、释义及用法,是语言学习和写作的有利工具。

 

Copyright © 2004-2024 Ctoth.com All Rights Reserved
京ICP备2021023879号 更新时间:2026/4/16 23:43:16