对焊接主要原材料及焊接用的焊条、焊丝(以下统称焊料)等主要材料的消耗定额分别进行计算和确定。
1.焊接原材料消耗定额的确定
在已知由轧制材料制成的焊接部件的质量时(按图纸),焊接主要原材料消耗定额就是部件质量乘以材料的消耗系数。
2.焊料消耗定额的计算
焊料的消耗定额,一般是以焊缝熔敷金属质量(或焊剂的消耗量),加上焊接过程中的必要损耗(如烧损、飞溅、烬头等)来进行计算,如下式所示:
Gx=PfKhLh
或
Gx=PtLh
式中 Gx——焊料(或焊剂)消耗定额(g);
Pf——每米焊缝熔敷金属质量(g/m);
Kh——定额计算系数(%);
Lh——焊件焊缝长度(m);
Pt——每米焊缝焊料(或焊剂)消耗量(g/m)。
(A)每米焊缝熔敷金属质量Pf的计算如下式所示:
Pf=Fhρ×10-3
式中 Fh——焊缝熔敷金属截面积(mm2);
ρ——熔敷金属的密度(g/mm3)。
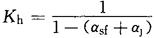
(B)定额计算系数Kh的计算如下式所示:

式中 αsf——焊料的烧损、飞溅损耗率(%);
αi——焊料烬头的损耗率(%)。
其中焊料的烧损、飞溅损耗率αsf的计算如下式所示:

式中 Pr——熔化焊料质量(g);
Pf——熔敷金属质量(g)。
焊料烬头损耗率的计算公式如下所示:

式中 Pi——焊料烬头质量(g);
Ph——焊料质量(g)。
表8.3-1为手工电弧焊电焊条损耗率和定额计算系数;表8.3-2为自动埋弧焊每米焊缝的焊丝、焊剂消耗量;表8.3-3为手工电弧焊每米焊缝熔敷金属质量和焊条消耗量。
表8.3-1 手工电弧焊电焊条损耗率和定额计算系数

表8.3-2 自动埋弧焊每米焊缝的焊丝、焊剂消耗量

表8.3-3 手工电弧焊每米焊缝熔敷金属质量和焊条消耗量

