网站首页  词典首页

请输入您要查询的字词:

 

字词 瑞雷波法
类别 中英文字词句释义及详细解析
释义

瑞雷波法


弹性波主要有两大类,在介质内部传播的波叫体波,如人们所熟知的纵波(P波)、横波(S波)等;沿介质自由表面传播的波叫表面波(Surface Wave),简称面波。表面波与体波不同,它沿界面传播,是波动现象集中在一个波长范围内的另一类弹性波。

英国人瑞雷首先以数学方法论证了表面波的存在,并说明了它的性质。根据瑞雷的理论,这个表面波是在弹性分界面处,由满足应力的边界条件而产生的波动现象,其涉及的范围集中于界面附近,所以在界面处波的振幅最大,离开界面,振幅迅速减小,这种波被命名为瑞雷波。乐夫则提出,当半无限弹性体表面存在另一密度、另一弹性常数的介质时,做水平振动传播的波有频散现象,这一频散波被称作乐夫波。研究表明,瑞雷波是由P波和SH波干涉生成的表面波,而乐夫波是SH波的多次反射波在界面干涉生成的表面波。对于不均匀介质,乐夫波和瑞雷波都具有频散特性。对于炸药震源或冲击振源,乐夫波的能量远小于瑞雷波的能量,往往难于观测到,所以面波勘探主要研究瑞雷波。

12.2.1 基本原理

瑞雷波勘探是利用人工或机械震源激励,通过测量不同频率瑞雷波的传播速度来探测不同深度的岩土介质性质。瑞雷波有如下特性:在分层介质中传播的瑞雷波具有明显的频散特性;瑞雷波的波长不同,其穿透深度也不同;瑞雷波传播速度与横波速度有相关性。

利用瑞雷波的前两种特性,可以研究介质的物性变化,对沉积地层进行物性分层,探查地下空洞和掩埋物体;利用后一特性可以得到岩土层横波速度,进而计算出介质的物理力学参数。

在工程地质及地质灾害勘查中,瑞雷波勘探主要应用于以下几方面:

(1)工程地质勘查:利用实测的瑞雷波频散曲线,通过定量解释,可以得到各地质层的厚度及弹性横波的速度。速度的大小直接反映了地层的“软”“硬”程度,因此,可对第四系地层进行划分,确定地基的持力层。低速度带反映了地下赋存有软弱夹层,这类“软”地层对建筑物易造成危害,瑞雷波勘探可划分出软弱层的埋深及范围。

(2)地基加固处理效果评价:软地基的加固处理,就是通过不同的方法,如强夯、挤密置换化学处理等,使软地基变“硬”。瑞雷波法评价加固效果,是通过实测地基加固前后的波速差异,了解地基处理前后土体的物理力学性质的改善程度,同时可对处理后场地在水平方向的均匀性做出评价,并确定加固影响的深度和范围。

(3)岩土的物理力学参数原位测试:波速的大小与介质的物理力学参数密切相关,如密度、剪切模量、压缩模量、泊松比等。因此,通过对实测资料的反演拟合解释,可以得到岩、土层的横波速度、纵波速度、密度等参数,进而计算出其他物理力学参数。

(4)地下空洞及掩埋物探测:有时需要准确查明地下土洞、溶洞、废弃矿井以及各种地下掩埋物在地下的空间位置。用瑞雷波进行勘探时,当勘探深度达到这些物体的深度时,频率和速度关系曲线就会出现异常,据此可以确定其埋深及范围。

(5)公路、机场跑道疲乏质量无损检测:利用人工激发的高频瑞雷波,可以测得路面、路基的波速以及各结构层的厚度,进而推算出路面的抗剪、抗压强度及路基的载荷能力。该方法可用于机场跑道和高等级公路疲乏的检测,并可实现质量随年代变化的连续监控。

(6)饱和砂土层的液化判别:根据场地内饱和砂土层的埋深,地下水位等地质条件,可以计算出该饱和砂土层的液化临界波速值,判别其液化的可能性。实测波速大于该临界值,则为非液化层,小于该临界值则为液化层。

(7)其他方面的应用:瑞雷波勘探还可用于场地土类型、类别划分,滑坡、边坡调查,堤坝隐患危险性预测,基岩的完整性评价,桩基沉没入土深度测量等。

12.2.2 观测方法

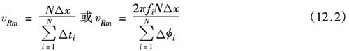
瑞雷波沿地面表层传播,在地面沿波的传播方向,以一定的道间距△x设置N+1个检波器,就可以检测到瑞雷波在N△x长度范围内的传播过程。设瑞雷波的频率为fi,相邻检波器记录的瑞雷波到达的时间差为△t或相位差为△Φ,则相邻道△x长度内瑞雷波的传播速度为:

在N△x范围内的平均波速为

12.2.2.1 稳态瑞雷波勘探

稳态瑞雷波勘探的原理是使用稳态的电磁激振器在地面进行竖向激振,通过改变激振频率,可以得到一组与fi相对应的νRi值,测得一条νR-f曲线,由,也可将vR-f曲线转换为νR-λR曲线。稳态面波勘探法原理如图12-3所示。

图12-3 稳态法原理示意图

12.2.2.2 瞬态瑞雷波勘探

瞬态法与稳态法的区别之一是震源不同,瞬态法采用冲击振源或炸药震源产生一定频率范围的复频波,不同频率的瑞雷波叠加在一起,以复频波的形式向前传播。瞬态法记录的信号要经过频谱分析和相位分析,求得各个频率分量的瑞雷波,并用互谱法求得相邻检波器间相位移△Φi,则相邻道距△x内瑞雷波的传播速度νRi即可求得。分析全部频率的瑞雷波,进而得到一条vR-f曲线或νR-λR曲线。瞬态面波勘探法如图12-4所示。

图12-4 瞬态法原理示意图

12.2.3 技术要求

12.2.3.1 观测方式

面波勘探一般采用纵观测系统,即激振点和检波器排列在一条直线上,以一定间隔布点。观测方式有以下几种:

(1)一端激震,两道或多道观测。检波点距应小于最小波长,最小偏移距可与检波点距相等。

(2)两端分别激震,两道或多道观测。

(3)对于两道观测,当探测的目的地层为速度分层时,可采用定距测量方式,即两个检波器之间的道距不变,完成一个物理点测量。当探测目标体是地下空洞等地下埋设物时,可采用变距测量方式,即固定震源和一个检波器的位置不变,以一定的间距移动,另一个检波器进行测量。也可以定距、变距、两种测量方式结合进行,一般可大致确定空洞的中心位置和顶底面埋深。

(4)两道观测方式信噪比较低,在没有开发出更好的观测技术之前,建议采用多道观测方式。多道观测方式有以下优点:①可以在时间剖面上准确识别面波所在的时间窗位置,从而为合理设计面波观测“窗口”提供依据。②可以在多道采集的有效面波记录上,根据波形的时序关系分析波的来源,判断采集到的面波、绕射波以及其他干扰波是直接还是间接来自激发振源,据此正确选定布设测线的方向、振源位置以及选择激发时刻。③在多道采集的面波记录上可以区分开基本振型和高阶振型的面波,从而为合理选用不同振型的面波,解决不同地质问题创造条件。

12.2.3.2 瑞雷波的激发

(1)稳态激振的频率范围和频率间隔与勘探深度、分辨率以及地质条件等因素有关,勘探深度H与波长λR成正比(H=βλR)。β为波长深度转换系数,一般取0.65。

(2)稳态激振的优点是不同频点的能量分布比较均匀,激发高频比较容易做到;缺点是设备笨重,如果要求勘探深度达到60m,设备的重量就要超过1000kg。

(3)瞬态激振可采用不同重量和不同材质的手锤或落锤进行垂向激振,也可采用炸药等其他激振方式,以满足不同探测深度和不同探测精度的要求。

12.2.3.3 数据采集

(1)稳态激振器的安置应与地面均匀、紧密耦合,并使其保持竖直状态,开始先给激振器一定频率的电流使之起振,当激振器工作稳定后,方可进行采集与接收。

(2)应根据勘探深度和分辨率选用固有频率不同的检波器,检波器的振幅和相位一致性要好,安置检波器时应注意与地面垂直并紧密耦合,不同接触条件可采用不同的耦合方式,如生石膏、橡皮泥和黄油等,对于泥土地面可直接插入土中。

(3)合理确定采样率。根据不同的勘探目的层确定采样率,对于浅层宜采用较高的采样率,而对于较深的目的层则应采用较低的采样率,以增加低频段的频点数,提高深层的分辨率。

(4)发挥多道采集数据的优势,通过试验,合理选择观测“窗口”和排列走向,以避开或减小干扰波的影响。

12.2.4 数据处理

12.2.4.1 稳态面波勘探

(1)瑞雷波传播速度的计算方法有两种,一种为时间差法,一种为互相关分析法。前者是利用同相位目视对比取值计算,精度差、效率低,后者通过计算机对全部记录进行处理,有利于提高效率和νR的计算精度。

(2)测得各频点的瑞雷波速度,即可绘制νR-f曲线,但频率f不能直接表示深度,在实际应用中,一般绘制νR-βλR曲线,β为波长深度转换系数。

(3)解释方法多采用半波长法,但此方法有时不够精确,实际应用中需作修正或改进。推断地层厚度的方法,目前有一次导数极值点法和拐点法。计算层速度的方法有渐近线法、H极值法和近似计算法以及层厚度、层速度等综合解释法等。

(4)由深度-波速曲线计算瑞雷波层速度时,当地层的平均速度随深度增加而增大时,应用公式计算速度:

式中:Hn为第n点深度(m);Hn-1为第n-1点深度(m);νRn-1为第n-1点深度以上的平均速度(m/s);vRn为Hn~Hn-1深度间隔的层速度(m/s)。

当地层平均速度随深度增加而减小时,应按(公式12.4)计算层速度:

当不考虑地层平均速度随深度变化趋势时,可用(公式12.5)计算层速度

瑞雷波速度与横波速度有一定差异,其大小与地层泊松比有关,可按表12-2进行修正。

表12-2 瑞雷波与横波速度比值随泊松比变化一览表

表中:σ为泊松比;vR为瑞雷波速度(m/s);vs为横波速度(m/s)。

12.2.4.2 瞬态面波勘探

(1)屏幕上显示了多道面波记录,确定面波的时间-空间域窗口,经过富氏变换,将数据由时间-空间域转换到频率-波数域,得到二维振幅谱图像。在振幅谱图像上选取带通滤波的窗口,进行二维滤波拾取面波信息,由此得出面波频散曲线。

(2)根据面波频散曲线可进行地层分层。首先根据已知地质资料和频散曲线形状,给出地层分层的初始模型和拟和误差,拟和程序应利用最优化算法计算出理论频散曲线,反复修改各层厚度和波速参数,使理论频散曲线与实测频散曲线得到最好的拟合,求得各层厚度和速度值。

12.2.5 成果的表达形式

无论是稳态面波勘探还是瞬态面波勘探,都需求出不同频率(即不同波长)的瑞雷波速度,得到一条面波相速度频散曲线,在此基础上进行波速分层和解释。在实际应用中,一般绘制νR-βλR曲线,β为波长深度转换系数,即以vR为横坐标,βλR为纵坐标。因为βλR直接代表着深度,所以,νR-βλR曲线的变化直接反映了瑞雷波随深度的变化情况。图12-5是典型的瑞雷波勘探成果图。

图12-5 瑞雷波法勘探成果图

(孙党生等实测)

12.2.6 展望

瑞雷波法可用于解决浅部工程地质和地质灾害问题,例如洞穴、掩埋物、堤坝隐患探测、公路和机场跑道检测、地层分层、地基加固处理效果检查等,虽然在国内只有短短十几年时间,但该方法以其浅层分辨率高、应用范围广、方便、快速等优点,已引起科研、生产部门的高度重视。随着该方法的理论和应用研究的不断深入,除可应用瑞雷波的波速外,瑞雷波的衰减特性、椭圆率的变化等各种信息的综合利用,必将开拓瑞雷波勘探更加广泛的应用领域。应用天然源的面波勘探也是今后发展方向。

12.2.7 仪器设备

稳态面波勘探仪器设备见表12-3。

表12-3 GR-810仪器系统的配置(稳态)

瞬态面波勘探仪器设备见表12-4。

表12-4 瞬态面波勘探系统

【参考文献】:

北京大学数学力学系.1973.地震勘探数字技术,北京:科学出版社

董万里.1978.岩石动弹性性质的超声测试,岩体工程地质力学问题,中国科学院研究所编,北京:科学出版社

工程岩体分级标准(GB50218-94).1995.国家技术监督局、建设部联合发布

谷德振.1979.岩体工程地质力学基础,北京:科学出版社

理学报,第31卷,第6期

林宗元.1994.岩土工程试验手册,辽宁科学技术出版社

刘云祯等.1996.瞬态面波法的数据采集处理系统应用及实例,物探与化探

唐大荣.1988.Mini-Sosie浅层高分辨率反射波技术在西安市地裂缝研究中应用,地球物理学报,第31卷,第6期

唐大荣.1990.用浅层地震反射法探测河北省山前平原活动断层依据及效果,物探与化探,第14卷,第2期

唐大荣.1994.地面岩溶塌陷的高分辨地震勘查,物探与化探,第18卷,第1期

王兴泰.1996.工程与环境物探新方法新技术,北京:地质出版社

王振东.1988.浅层地震勘探应用技术,北京:地质出版社

吴庆曾.1996.小应变动力验桩纵横谈,工程物探

吴庆曾.1998.声波检测的发射与接收,中国地质灾害与防治学报,第9卷增刊(ISSN1003-8035)

吴庆曾.2000.论基桩完整性检测技术,物探与化探

岩石物理力学性质试验规程.1986.地质矿产部

杨成林等.1993.瑞雷波勘探.北京:地质出版社

Wu Oingzeng.1992.Sonic Reflection for lnspecting The lntegrity of Foundation Pile,14th lnternational Congress on Acoustics

随便看

 

文网收录3541549条中英文词条,其功能与新华字典、现代汉语词典、牛津高阶英汉词典等各类中英文词典类似,基本涵盖了全部常用中英文字词句的读音、释义及用法,是语言学习和写作的有利工具。

 

Copyright © 2004-2024 Ctoth.com All Rights Reserved
京ICP备2021023879号 更新时间:2025/10/18 15:25:45