许多事物的发展规律类似于生物的自然增殖过程,可以用一条近乎S型的曲线来描述:发展初期增长速度较慢,一段时间后,增长速度会逐渐加快,到接近于某一增长极限时,增长速度又会变慢(图6.4.4-1)。技术的发展与普及过程,新产品的普及过程,企业生产能力的提高过程,一国的经济增长过程等,都具有这种特点。

图6.4.4-1 事物发展的S型曲线
对于事物发展过程呈S型曲线这一规律,很多人进行了研究,有多种S型曲线的数学描述。常用作预测模型的有戈珀兹曲线(Gompertz Curve)与逻辑曲线(Logistic Curve)。下面分别加以介绍。
1.戈珀兹曲线预测模型
戈珀兹曲线的数学形式为
y=L·abt
式中y——函数值;t——时间变量;L——渐近线值(极限值);a、b——模型参数
如果通过对时间序列数据的观察分析,认为可以用戈珀兹曲线拟合,可按如下步骤计算L、a、b等三个待求参数:
(1)进行时间编序,第一年t=0,第二年t=1,依次类推。
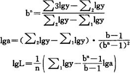
(2)将时间序列数据分为三段,每段n年,计算各时间段内实际数据之对数和,分别记作∑1lgy,∑2lgy,∑3lgy。

式中,yt——第t年的实际数据。
(3)计算L、a、b:

由bn、lga、lgL求得b、a、L,代入式4,即可得戈珀兹曲线预测模型。
2.逻辑曲线预测模型
逻辑曲线的数学形式为:

式中y——函数值;t——时间变量;L——渐近线值(极限值);a、b——模型参数;e——自然对数的底。