1.绕组的常用术语
(1)极距τ:是一个磁极在定子圆圈铁芯上所占的槽数。

式中 z1——定子槽极;
2p——电动机的磁极数,4极2p=4,2极2p=2。
例如一台四极电动机,定子槽数为36,则该电动机的极距:

(2)节距γ:节距也叫跨距,是一个线圈的两个有效边所跨的槽数。节距等于极距时称为全节距绕组;节距小于极距时称为短节距绕组。短节距能够节省导线和改善电动机的电气性能,所以多被采用。
(3)每极每相槽数(极相槽)q:每个磁极下每相绕组所占有的槽数,也叫极相组。
q=z1/2pm=τ/m
式中 m——绕组的相数。
上例中电动机极距是9,极相槽为9/3=3(槽)。
2.常见绕组的几种形式
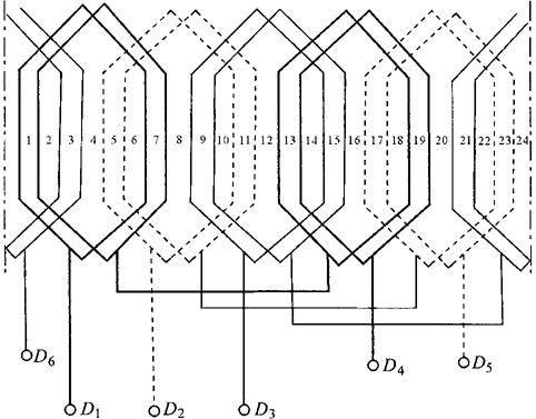
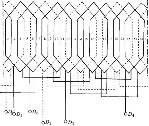
感应电动机常用的绕组形式有单层链式、单层叠式、双层叠式、单层交叉式和单层同心式几种,其绕组形式的展开图见图2-12~图2-15。

图2-12 三相24槽4极单层链式全节距绕组展开图

图2-13 三相24槽4极单层叠式短节距绕组展开图

图2-14 三相36槽4极单层交叉式绕组展开图

图2-15 三相36槽4极双叠式绕组(双层短节距绕组)展开图

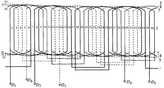
图2-16 三相36槽4极单层同心绕组展开图(只画出了A相)
3.绕组连接法的辨别
首先数出接到各电源引线上的线圈组数。如果一根引线只接到一个线圈组上,则是一路星形接法(图2-17)。若每一根引线接到两个线圈组上,则可能是一路三角形接法(图2-18),也可能是两路并联星形接法(图2-19),应进一步检查,如果还发现有六个线圈组接在一起的一个中性点,则是两路并联星形接法。

图2-17 一路星形接形

图2-18 一路三角形接法

图2-19 两路并联星形接法
按上述方法可以辨别出其他绕组的星形或三角形接法。