网站首页  词典首页

请输入您要查询的字词:

 

字词 电站锅炉
类别 中英文字词句释义及详细解析
释义

电站锅炉


(一)锅炉的基本工作特性

锅炉的基本工作特性表征锅炉的生产能力、蒸汽参数、经济效果等,分别用下列适当指标表示。

1.额定蒸发量或供热量 表示锅炉生产能力的指标。锅炉铭牌上标出的是额定蒸发量或供热量,即在额定参数下长期运行的最大蒸发量或供热量。动力锅炉在额定工况下每小时的水蒸汽生产量,称蒸发量,也称容量或出力,用符号D表示,单位是t/h。对于供热锅炉,其容量则是用额定工况下,每小时的供热量来表示,使用符号Q,单位kJ/h。

2.额定参数 表示工质(蒸汽或水)能量品位的指标。锅炉铭牌上标出的就是额定参数,它是锅炉出口处的水蒸汽压力或热水的表压力和温度。生产饱和蒸汽或饱和水的锅炉仅标出额定压力。压力用符号P表示,单位MPa;温度用符号t表示,单位℃。

锅炉机组按主蒸汽参数可分为低压、次中压、中压和次高压机组。常见压力等级(所示压力均为计示压力)见表3-5-78。

表3-5-78 主蒸汽压力等级

小型热电站锅炉的蒸发量、蒸汽压力,为制造、使用、管理方便,按一定的档次形成系列。小型热电站锅炉参数见表3-5-79。

表3-5-79 小型热电站锅炉参数表

热电站锅炉的给水必须经低压加热器、除氧器、高压加热器等加热后达到要求的给水温度进入锅炉。

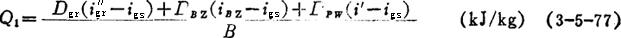
3.锅炉效率 锅炉最重要的技术经济指标之一。指锅炉机组中总有效利用热量(Q1)与送入锅炉热量(Qr)的比值,它的表示方法有两种:

(1)锅炉机组正平衡的热效率η1,可由下式反映:

式中 B——锅炉热料消耗量(kg/h)

Dgr——过热蒸汽产量(kg/h)

——过热蒸汽焓(kJ/kg)

igs——锅炉入口处给水的焓(kJ/kg)

DBZ——不通过过热器的饱和蒸汽抽取量(kg/h)

iBZ——饱和蒸汽的焓(kJ/kg)

DPW——锅炉排污量(kg/h)

i′——锅炉的排污水焓(kJ/kg)

(这里未计及再热和利用本锅炉加热外界水、汽的情况。)

Qr——送入锅炉的热量(kJ/kg)

Qr=+ir+Qwr (3-5-78)

式中 ——煤的应用基低位发热量(kJ/kg)

ir——燃料的物理热(kJ/kg)

Qwr——用外部热源加热空气时带入锅炉的热量(kJ/kg)

(2)锅炉机组反热平衡的热效率

锅炉机组的热平衡可表示为:

Q1=Qr-(Q2+Q3+Q4+Q5+Q6) (kJ/kg) (3-5-79)

锅炉机组的反热平衡热效率则是除去锅炉机组的各项损失所得到的效率,即:

η2=100-(q2+q3+q4+q5+q6)% (3-5-80)

以上各项损失分别为:排烟损失(q2);化学不完全燃烧损失(q3);机械不完全燃烧损失(q4);散热损失(q5)和其它损失(q6),如灰渣。各项损失都有其特定的计算方法。

锅炉机组正、反平衡的热效率的误差,不得大于±5%,即η1-η≤5%;如果超过此值,说明求得的热效率不正确,应重新测试计算。其值以正平衡热效率为准。

锅炉机组的热效率与锅炉的容量、类别等有关,在产品样本中可以查出。如资料不全,可取用下述数值:

锅炉类别 链条炉 煤粉炉 沸腾炉 旋风炉

锅炉效率 0.72~0.85 0.85~0.90 0.65~0.70 0.85

4.锅炉燃料消耗量 在进行锅炉机组热力计算得出锅炉机组正平衡热效率后,即可通过下式计算锅炉机组每小时燃料消耗量B:

用上式计算燃料消耗时,均假定燃料是完全燃烧的;但实际上由于机械不完全燃烧损失的存在,使燃烧所需空气量及生成烟气量均减少。故在计算这些量时,应按计算燃料消耗量Bj进行计算。Bj按下式确定:

(二)锅炉燃烧方式的选择

按照煤的燃烧方式,锅炉可分为:链条炉排及抛煤机链条炉排锅炉、煤粉炉、沸腾炉、旋风炉及循环流化床锅炉等。锅炉燃烧方式的选择,应根据所用的煤种及锅炉适应的煤种范围,综合考虑下列要求:(1)对热负荷变化的适应性;(2)节约能源的性能;(3)对环境的影响;(4)金属耗量等。

1.链条炉排锅炉及抛煤机链条炉排锅炉 在小型热电站中使用较广,其单台锅炉的额定蒸发量一般小于或等于65t/h,煤主要在炉排上燃烧。煤从煤斗落至炉排上,随着炉排的移动进入炉膛(抛煤机炉则先将煤用机械或风力抛入炉膛,再落到炉排上),与炉排下进来的空气接触,在高温下着火燃烧,放出热量,灰渣由炉排送出膛。

采用这两种炉型时,煤质应满足下列要求:

(1)水分≤20%;

(2)灰分≤30%,并宜使≥10%;

(3)灰熔点t3>1300℃;

(4)焦碳粘结性适中;

(5)入炉前最好进行筛分,在燃用未经筛分的统煤时,0~6mm的粉末不应超过50%~55%,煤块的最大尺寸不应超过40mm;

(6)煤的发热量≥12570kJ/kg(3000kcal/kg)。

抛煤机倒转链条炉排锅炉 综合了链条炉排锅炉加煤、出渣均机械化及运行可靠的优点,抛煤机本身又具有着火条件优越、燃烧强度高、煤种适应性广等优点,目前一些地区的小型电站仍在采用。

2.煤粉炉 链条炉排锅炉由于炉排结构的限制,热负荷也受到限制,锅炉效率不能提高。因此蒸发量大于65t/h锅炉,应采用煤粉炉。煤粉粒径约为0.02~0.10mm,由热空气携带经燃烧器喷入炉膛悬浮燃烧,运行效率约为88%~92%。煤粉炉可燃烧灰分较大的劣质煤,因此大中型火电厂普遍采用。但需配备比较复杂的制粉设备,消耗钢材和电力较多,烟气中含灰量较高。

煤粉炉排渣有固态和液态两种方式。液态排渣炉的负荷调节能力较差,我国应用较少。

3.沸腾炉 采用介于层燃和室燃之间的燃烧方式。优点是能够燃用其他燃烧方式所难以燃烧的劣质煤,包括石煤、煤矸石,劣质无烟煤等。沸腾炉又可分为半沸腾炉及全沸腾炉两种。

沸腾燃烧属低温燃烧,主要优点是可以抑制氮氧化合物的生成速度,从而降低烟气中的氮氧化合物的排放量,减轻对大气的污染。

燃烧含硫煤时产生的SO2,在一定的温度范围内可与碱金属的氧化物化合,生成固态硫酸盐,减少SO2的排放及对锅炉受热面的腐蚀。

沸腾炉燃烧的缺点是飞灰量大,含碳量高,燃烧效率低,飞灰对炉膛埋管、内墙及锅炉受热面磨损均较严重。

当锅炉容量增大、沸腾床面积相应增大时,床内空气和燃烧不易分布均匀,从而使沸腾质量受到影响,故沸腾炉的容量不宜过大。

4.旋风炉 细煤粒或粗煤粉由沿切向或割向进入的高速空气(一般称二次风)带至燃烧室,在涡旋状态下强烈燃烧。旋风炉有卧式旋风炉和立式两种。

与固态排渣炉相比,旋风炉的优点是:炉内燃烧过程非常强烈,炉膛容积热强度高,炉膛尺寸较小;过量空气系数小(约为1.05~1.10),相对降低了排烟热损失;制粉设备简单,耗电较低,如燃用煤屑时,可不设磨煤设备;排渣率高,烟气中飞灰含量低,适当提高烟气流速,即可强化对流受热面的传热;烟气对受热面和鼓风机的磨损较轻,可简化除尘设备。

主要缺点是:适用煤种受灰熔点和熔渣粘度(即灰渣温度特性)的限制;锅炉负荷调节范围小,不能快速起停;有害气体排放量大,对大气污染较严重;需保持较高风压的二次风速,风机电耗高。

现将各种类型锅炉的特性综合列表3-5-80。

表3-5-80 各种类型锅炉特性表

(三)锅炉容量及台数的选择

应根据热电站的容量、非采暖期热电站的供热工况、扩建时可能增加的供热负荷、热用户中现有锅炉房的情况等进行综合考虑。一般应考虑:

(1)锅炉台数一般不宜少于2台。当其中最大一台容量的锅炉停用时,其余锅炉的出力应能满足热用户连续生产所需全部用汽量及冬季采暖、通风和生活用汽量的70%。

当热用户原有锅炉可作为热电厂的备用锅炉,且其蒸发量总和可以满足上述两项要求时、热电站锅炉的台数也可只选用一台。

(2)热电厂扩建时,锅炉的选择应连同老厂锅炉统一考虑。

(3)选用相同容量的锅炉时,宜采用同一制造厂同一型号的产品。

(4)热电站内设有2台及2台以上汽轮发电机组时,为简化热力系统及布置,宜采用一炉配一机的方式。

(四)小型热电站锅炉型号及规格

见表3-5-81。

表3-5-81 我国部分锅炉型号及规格

随便看

 

文网收录3541549条中英文词条,其功能与新华字典、现代汉语词典、牛津高阶英汉词典等各类中英文词典类似,基本涵盖了全部常用中英文字词句的读音、释义及用法,是语言学习和写作的有利工具。

 

Copyright © 2004-2024 Ctoth.com All Rights Reserved
京ICP备2021023879号 更新时间:2025/10/17 23:58:27