又称相关系数检验法。它是通过数学运算,较准确地表达两个变量之间相关程度,并用一个数量指标来表达的方法。这个数量指标叫相关系数。对于n组对应的数值:

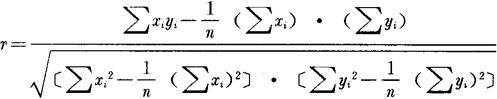
相关系数r的计算公式是:

式中
个x数据的平均值;
个y数据的平均值;
lxx——x的离差平方和,即
;
lyy——y的离差平方和,即
;
lxy——x的离差与y的离差之积,即
。
在通常计算时,往往采用较方便、计算误差较小的计算公式:

计算出r值之后,就要查《相关系数检验表》。在对应的自由度n-2和风险度a交叉处查出的数据与计算结果r的绝对值比较:如果后者不小于前者,则说明两变量确实存在相关关系,所冒风险程度为a;如果后者小于前者,则不说明两变量之间确有相关关系。