别名 Kappa-硒化卡拉胶
编码 GB 16.000
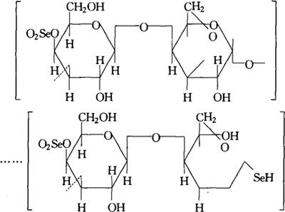
化学结构

性状 微黄至土黄色粉末,有微臭,在水中形成均匀水溶胶。水溶胶呈酸性,在乙醇中几乎不溶。
制法 取硒粉用浓硝酸溶解后,与卡拉胶溶液反应,精制而成。
质量标准

毒理学依据
1.LD50 大鼠口服0.575g/kg(bw)(雌性);
0.703g/kg(bw)(雄性)。
小鼠口服0.818g/kg(bw)(雌性);
0.934g/kg(bw)(雄性)。
2.蓄积毒性试验 无明显蓄积毒性作用。
3.致突变试验 Ames试验、骨髓微核试验及小鼠精子畸形试验,均未见致突变作用。
4.亚慢性毒性试验 除高剂量(420mg/kg)组动物有体重增长受限,部分动物肝脏呈肝硬化变化外,其余各组的生化指标等检验均未见明显异常。其无作用量为12.5mg/kg。按安全系数100计算,ADI为0.125mg/kg(bw)〔相当于Se1.5μg/kg(bw)〕。
使用 硒强化剂。
1.使用注意事项 硒是人体必需微量元素,主要与机体的抗氧化作用等有关。我国每日膳食中硒供给量标准为:儿童1~3岁,20μg,3~6岁,40μg;7~12岁,的儿童和其他人均为50μg。应特别注意的是,过量摄入可引起中毒。通常,有机硒化物的毒性比无机硒化物低,且有更好的生物可利用性和生理增益作用。
2.使用范围及使用量 我国《食品营养强化剂使用卫生标准》(GB 14880-94)规定:以硒计,用于饮液,30μg/10mL;用于片、粒和胶囊,为20μg/片、粒、胶囊。作为营养强化剂硒源,必须在省级有关部门指导下使用。