网站首页  词典首页

请输入您要查询的字词:

 

字词 硫酸钡比浊法
类别 中英文字词句释义及详细解析
释义

硫酸钡比浊法


1.适用范围 本法测定浓度在2-40ppm范围内,并应尽可能使标准曲线与试样测定的条件保持一致,以减小误差。

2.试剂配制

(1)硫酸盐标准溶液:称取在105℃烘干的K2SO4细粉0.4537g,溶于水中,稀释至1000ml。此标准溶液的浓度为250ppm。

(2)固体的氯化钡细末:把BaCl2·2H2O用玛瑙研钵研细,使其通过0.5m.m.筛孔,小于0.25m.m.筛孔者不用,使BaCl2·2H2O结晶大小在0.25-0.5m.m.之间,以使Ba2+作用速度每次一致,以增加比浊的准确度。

(3)0.25%阿拉伯胶溶液:溶解0.25g阿拉伯胶于100ml水中。

(4)1∶1盐酸溶液:1份浓HCl加1份蒸馏水。

3.测定步骤 吸取浸出液(土∶水=1∶5)10-20ml(视含量而定,不得超过)放入25ml容量瓶中,加6滴1∶1HCl,摇匀,加1g BaCl2·2H2O细粒,振荡1min后,立即加入0.25%阿拉伯胶1-2ml(如含量<20ppm加1ml,如为20-40ppm加2ml)。

把悬浊液定容至25ml,再摇动1min,在50-30min内在分光光度计上比浊(用440nm波长)读取吸收值。如待测液不清亮时,应以待测液作为空白调整零点。

在标准曲线上查出浓度,如果大于40ppm,应将浸出液稀释后重新测定之。

标准曲线的绘制:取硫酸盐标准溶液0,0.5,1.0,1.5,2.0,2.5,3.0,3.5,4.0ml分别放入9个25ml容量瓶中,用水定容,则浓度分别为0,5,10,15,20,25,30,35,40ppm,按上述步骤进行,读取吸收值,以纵坐标表示吸收值,横坐标表示硫酸根的浓度(ppm),在方格纸上绘成标准曲线。

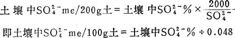
4.结果计算

随便看

 

文网收录3541549条中英文词条,其功能与新华字典、现代汉语词典、牛津高阶英汉词典等各类中英文词典类似,基本涵盖了全部常用中英文字词句的读音、释义及用法,是语言学习和写作的有利工具。

 

Copyright © 2004-2024 Ctoth.com All Rights Reserved
京ICP备2021023879号 更新时间:2025/10/18 10:23:00