网站首页  词典首页

请输入您要查询的字词:

 

字词 硬管
类别 中英文字词句释义及详细解析
释义

硬管


硬管挤出成型工艺流程见图4-2-1所示。

图4-2-1 工艺流程示意图

1-料斗 2-加热器 3-机头 4-定型装置 5-冷却槽 6-牵引机装置 7-切割机

(一)挤出成型机

由于工艺和经济上的原因,每种规格的挤出成型机所能生产管材的尺寸均有一定范围(其它型材同样也如此)。挤出成型机规格与所生产管材的尺寸关系参见表4-2-1。

表4-2-1 挤出成型机规格与管材尺寸范围的关系(mm)

选择挤出管材所用挤出成型机必须注意以下几点:

①机筒与螺杆间隙要小,否则会影响挤出效率。

②机筒与螺杆的表面硬度要求较高,表面粗糙度值要低,否则容易磨损,粗糙的表面还可使料流停滞分解。

③如果用双螺杆挤出成型机生产硬管则更为适宜。

(二)机头

机头的作用是使挤出成型机连续提供的熔化的和具有压力的塑料熔体通过其特定的流道进入口模而形成特定的结构或形状。机头设计应注意下列几个问题。

①为使熔体能从模口均匀地挤出并避免塑料发生过热分解,机头流道应呈流线型,流道截面不能突然地变化,更不能有死角和停滞区。表面粗糙度应在0.4以下。

②为使制品密实和消除拼缝线,机头内部的流道应有足够的压缩比。

③由于熔体的离模膨胀效应,口模出口部分应有合理的定型段长度(即平直段长度)。

④应有足够强度,结构紧凑,传热均匀,装拆方便。

⑤耐磨、耐腐蚀。

现将挤出管材用的机头介绍如下。

1.机头的类型和结构

表4-2-2 挤出管材用的机头类型和结构特点

2.流道的设计

挤出管材所用机头的类型虽可分为三种,但在应用中主要是直通式机头,故这里的论述也以这种机头为主,其结构见图4-2-2。

图4-2-2 直流机头示图

1-口模 2-芯棒 3-分离器 4-分离器支架

如上所述,机头的作用是将挤出成型机提供的料转成特定的形状(这里就是管形)。但在转换过程中,为配合塑料熔体流动的特点和保证制品质量的要求,应注意以下几点:

①挤出成型机送出塑料熔体是由螺杆完成的,其流动形式是螺旋形的。但当其通过机头后必须成为管状的平直流动。因此熔体在机头中的流动必须保持一定的时间,以免造成内应力而影响制品的质量。

②为使料流通过机头而成为管状,直通式机头内部设有芯模支架,塑料熔体通过芯模支架时是一种由分而合的过程。因此流道截面应逐渐缩小,以便料流能在合拢时取得良好的结合。最大和最小流道的比常称为压缩比。压缩比越大,机头压力也越大,制品就密实,合流处的痕迹不明显,强度也高。

③熔体离开口模时,各点温度应均匀,因此所受剪切量应相等,出料速度也应相同。

以上三项要求都是通过机头结构形状和大小来实现的,现分述如下。

(1)分流器

分流器也可称为芯模锥头,见图4-2-3。熔融的塑料通过分流器时即呈薄形环状,这样,物料的受热面积即加大,有利于进一步塑化。分流器与多孔板之间的距离一般为10~20mm。距离过大常会造成此处存料过多,时间一长,就会出现分解;距离过小,则影响物料流动的稳定性。

图4-2-3 分流器示意

硬质聚氯乙烯塑料的熔体粘度高,流动性差,故分离器的扩张角α不宜过大,一般取α=55~60°。若α角过大料流阻力增加,分力就会减小,从而造成滞流和分解;如α角过小,则势必加长锥头长度L4,从而延长料在模腔内停留的时间,也不利于料层很快变薄,对制品质量不利。

分离器的长度L4,一般取(0.6~1.5)D,锥头圆角半径R为0.5~2mm,不能过大,否则会引起积料和造成分解,也有取尖角的,因为尖角不易发生滞料,从而避免分解。

(2)分流器支架

分流器支架主要用来支承分离器及芯模,见图4-2-4。分流筋的数量一般为3~8根。在满足强度的前提下,筋数及宽度应尽量减小。筋数多则料流拼缝线增多,筋过宽则拼缝线不易消失。这两者特别在机头压缩比较小时,更为严重,均有害于制品质量。分流筋应呈流线型,其出料端的角度应小于进料端的角度。

图4-2-4 分流器支架

(3)口模

口模是管材外表面的成型部件,见图4-2-5。其平直部分的长度L1(也叫做定型部分长度)对消除接缝线,保证制品质量和尺寸均有很大影响。L1值大时,料流阻力大,制品比较密实,料流也较稳定,但过长则会影响管材表面质量,降低产量,牵引也困难。L1值目前一般用下列经验公式来决定:

L1=(1.5~3.5)D1

或L1=(20~40)t

式中 D1——管材外径(mm)

t——管材壁厚(mm)

图4-2-5 口模结构

上式平直部分长度L1之值,在大直径管材时取小值,在小直径管材时取大值。

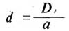
熔体管材在离模后常因弹性恢复而膨胀,而另一方面则因牵引、冷却而缩小,影响这种膨胀和缩小程度的因素很多,故在理论上很难计算。口模内径d的尺寸,一般用下列经验式来决定。口模压缩角一般取15°左右。

式中 D1——管材外径(mm)

α——经验系数(取1.04~1.08)

(4)芯膜

芯模是管材内表面的成型部件,见图4-2-6,是用螺纹与分流器支架连接并保证同心的。

图4-2-6 芯模示意图

芯模的收缩角β,在硬聚氯乙烯管材挤出中一般取10°~30°。β角减小则芯模的L2加长,有利于消除熔体通过分流筋后所产生的拼缝线和提高口模各点出料的均匀性。L2一般为(1.5~2.5)D。芯模平直部分的长度应与口模平直部分的长度相等。

芯模的外径d1是决定口模与芯模的环形缝口间隙的,也决定管材内径的尺寸,但由于挤出管材的离模膨胀,故外径d不能全按d1=d-2t计算,应根据管壁膨胀率来修正,如膨胀率为10%,则修正值δ=t/1.1;d1=d-2(t/1.1)。

(5)机头压缩比

压缩比是指分流器支架出口处截面积与模口环形缝隙截面的比值,随管径不同而有区别,见表4-2-3。压缩比太小,制品不密实,也难以消除拼缝线,反之则物料阻力过大。

表4-2-3 机头压缩比

3.机头加热功率的确定

加热功率可以用热平衡方程式来计算,但由于影响平衡的因素很多,且计算方法繁琐又不成熟,故一般按经验数据,即机头面积每平方厘米以3kW功率来估算。

(三)辅机

辅机是由定型、冷却、牵引、切割等设备组成的,以完成管材的成型使其达到所要求的外形尺寸。

1.定型装置

为了使管材获得正确的尺寸和圆度以及良好的内外表面光洁度,必须立即对自口模挤出的管材进行定径和冷却,定径方法分外定径和内定径两种。

(1)外径定型法

它是使管子外壁与定径套内壁接触而获得管子外径定型的方法,它又可分内压法和真空法两种。

①内压法 即在管子内通入一定压力(约0.05~0.1MPa)的空气使管材定径,如图4-2-7。定径套内径的设计一般按下面公式计算

式中 d1——定径套内径

d——管材要求的外径

定径套的长度一般按经验取(3~5)d1,随管子规格和挤出速度而异,也可参照下式估算:

式中 L——定径套长度(cm)

t——管材壁厚(cm)

V——挤出速度(cm/s)

图4-2-7 内压法定径装置示意图

②真空法 该法是在定径套内环一定部位上开直径为0.5~0.8mm均匀排列的小孔,通过抽真空使管子外壁贴在定型套内壁而冷却定型,见图4-2-8。定径套的长度比内压法所用的大20~40%。第一段为冷却段,其长度为全长的5~10%,第二段抽真空(真空度约为300~500mmHg),长度为全长的20~40%。定径套内径比口模小5~10%,以使管子外壁紧贴而保证管材圆度。也有采用2段真空区的,第三段继续使管子冷却。这种定型方法由于压力有限,故不适用于直径较大的管材,近来为提高冷却速率出现真空水浴法和真空圆盘喷淋法定型,使挤出的塑料制品直接与水接触,获得更好的冷却定型效率。

两种定径方法的特点见表4-2-4。

表4-2-4 两种定径方法的特点

图4-2-8 真空法定径装置示意图

(2)内径定型法

内径定型法是通过固定在机头上的型芯来定型的,所以只能用偏心机头来完成,而且只在管材内径要求严格时才采用。其简单结构见图4-2-9。由于管材定型时温度的下降会使其体积收缩,虽然采用稍有斜度的冷却型芯,但管材生产时的牵引力仍比外径定径法要大;同时塑料管材是以外径作为标准的,因此管材的定径很少采用此法。

图4-2-9 内径定型法示意图

1-型芯 2-连接部

2.冷却装置

一般采用冷却槽和喷淋冷却箱,以达到管材进一步冷却定型的目的。冷却槽与喷淋冷却箱的特点对比见表4-2-5。

表4-2-5 冷却槽与喷林冷却箱特点对比

3.牵引装置

牵引装置的作用是对机头挤出的管材给以一定的牵引力和牵引速度。牵引装置应能正确控制牵引速度,并通过速比大于1∶10的无级变速器予以调速以配合挤出成型机的挤出速度。牵引速度必须与挤出速度配合恰当。如果前者低于后者,会造成管壁增厚,甚至口模处堆料;反之则造成管子纵向拉伸,从而产生内应力和管壁减薄,甚至被拉断。牵引速度可参考下式估算:

式中 V——牵引速度(m/min)

Q——挤出量(kg/h)

p——密度(g/cm2)

d——管外径(mm)

s——管壁厚度(mm)

在实际操作中,牵引速度应稍大于挤出速度。目前一般牵引装置的最大牵引速度为6m/min,常见的牵引装置列于表4-2-6。

表4-2-6 牵引装置特点对比

4.切割装置

表4-2-7 切割装置

圆锯片规格与管子直径的关系,见表4-2-8,有关齿形参见第九章。

表4-2-8 圆锯片规格与管子直径的关系(mm)

(四)配方及工艺条件

1.配方

管材配方应根据用途而异。有关增强、填充、改性及助剂选用等可参见第一章和第二章有关内容,现将配方举例如下。

表4-2-9 配方参考示例

2.工艺条件

(1)温度

硬聚氯乙烯的加工温度与分解温度颇为接近,因此应严格控制各点的料温,同时注意测温仪表的误差及测温点的位置。具体各点的温度则根据挤出成型机的特性、螺杆、转速、机头结构及物料配方等具体情况而定,不能强求一致。表4-2-10和表4-2-11所列温度数值,仅供参考。挤出中,塑料从加料段至机头各点温度逐步升高,如图4-2-10,最高温度应控制在180~190℃。

图4-2-10 塑料沿挤出成型机的升温趋势

(2)机头压力

如前所述,机头压力的大小会影响制品的质量、出料的稳定及产量等。影响机头压力的因素较多,例如机头压力正比于熔体粘度,口模平直部分和螺杆计量段的长度、机头压缩比以及挤出量等;而反比于模口间隙、螺槽深度、螺纹升角正切值等,故必须综合考虑,合理选择。有关机头压力对挤出量、质量等定性关系参见本章第一节。就开车时挤出过程的压力变化来看,以熔体进入口模时的压力最高,如图4-2-11所示。螺杆头部与多孔板之间压力如果过高则常会损坏多孔板或机头和机筒连接的螺栓,因此在操作中应加以防止。一般硬聚氯乙烯的机头压力在17.0~40.0MPa。

图4-2-11 挤出过程中压力示意

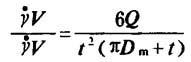
(3)熔料在口模内的剪切速率

熔料在口模内的剪切速率应控制在100s-1以下,超过极限值时就会导致熔体破裂,以致管材表面粗糙。在口模平直部分的剪切速率,如下式所示:

由上式可见,剪切速率正比于挤出量,反比于口模间隙的三次方。

(4)螺杆冷却

由于硬聚氯乙烯的熔体粘度高,由摩擦产生的热量较大,易引起螺杆粘料分解或管材内壁粗糙,故采用螺杆通水冷却,以减少聚氯乙烯熔体与螺杆表面的摩擦热,从而使管材内壁光滑。螺杆通水冷却后,会减少挤出量和影响塑化,不利于制品质量,甚至料流堵塞。因此必需严格控制冷却水温度,一般出水温度应在70℃左右。

(5)工艺条件举例

表4-2-10 单螺杆挤出粒料工艺条件举例

注:机头1——机头分流段部位。

机头2——机头分流支架处。

机头3——机头芯套口模处。

机头4——芯模处内部温度。

表4-2-11 单螺杆挤出粉料工艺条件常例

(五)操作中出现的问题、原因和解决的措施

表4-2-12 操作中出现的问题、原因和解决的措施

(六)质量标准

质量标准见轻工业部标准SG78-74。

随便看

 

文网收录3541549条中英文词条,其功能与新华字典、现代汉语词典、牛津高阶英汉词典等各类中英文词典类似,基本涵盖了全部常用中英文字词句的读音、释义及用法,是语言学习和写作的有利工具。

 

Copyright © 2004-2024 Ctoth.com All Rights Reserved
京ICP备2021023879号 更新时间:2025/10/17 23:04:19