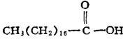
【结构式】:

【释文】:
制法 以动植物油为原料由分馏法或压榨法制得。
性质 白色或微黄色颗粒或块状物,工业品是硬脂酸和软脂酸的混合物,并含有少量油酸。微带脂肪味。纯品的相对密度0.9480(20℃),熔点70~71℃,沸点383℃,折光率1.4299(80℃)。在90~100℃下缓慢挥发。工业一级品的质量标准是:熔点≥54~57℃,酸值205~210毫克氢氧化钾/克,碘值≤2,皂化值206~211毫克氢氧化钾/克,无机酸(H2SO4)含量≤0.001%,水分≤0.2%,灰分≤0.03%,pH值酸性。本品在水中的溶解性极微,可溶于乙醇和丙酮,易溶于乙醚、氯仿、四氯化碳、苯、甲苯、醋酸戊酯等溶剂。
用途 本品可作为塑料加工用润滑剂,主要用于聚氯乙烯,一般用量0.3~0.5份。具有优良的润滑作用,并有防止层析结垢的效果。本品用量不可过大,否则易喷霜并影响制品的透明性。本品能影响凝胶化速度,使用时最好与硬脂酸丁酯之类的内部润滑剂并用。
毒性 本品无毒。美国(FDA)、联邦德国、日本等很多国家许可其用于接触食品的制品。
国内生产厂
青岛红星化工厂 重庆长江化工厂
沈阳市皮革化工厂
国外商品名

