把碳钢和低合金钢中的合金元素(包括碳)含量按其对淬硬、冷裂的影响程度换算成碳的相当含量的总和叫碳当量.它可作为评定碳钢和低合金钢焊接性的一种参考指标.
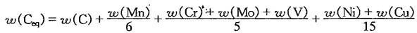
国际焊接学会(IIW)推荐的碳当量公式如下:

式中化学元素符号都表示该元素在钢中的质量分数.在计算碳当量时,元素含量都取其成分范围的上限.
根据一般经验,碳当量ω(Ceg)<0.4%时,淬硬倾向校焊接性良好,焊接时一般不需要预热;ω(Ceg)=0.4%~0.6%时,淬硬倾向较大,焊接性较差,一般需要预热;ω(Ceg)>0.6%时,淬硬倾向严重,焊接性差,需要较高的预热温度和严格的工艺措施.