网站首页  词典首页

请输入您要查询的字词:

 

字词 碳酸化
类别 中英文字词句释义及详细解析
释义

碳酸化


(一)碳酸气在饮料中的作用

1.清凉作用

碳酸气在饮料中变为碳酸,碳酸在胃内由于温度升高,压力降低又进行分解,这是一个吸热反应:,因此碳酸气能带走人体内的部分热量,起清凉消暑和止渴作用。

2.抑菌作用

碳酸饮料一般由糖、酸味剂和香料等组成,氮的含量少,因此对微生物来说是一种不完全的培养基。而且饮料酸味强,pH2.5~4,不利微生物生长。在饮料内充入碳酸气,CO2含量高,空气量即氧的含量降低,容易使好氧微生物致死。另一方面,充入碳酸气在包装内形成压力,也能抑制微生物生长。研究和实践表明,饮料内3.5~4倍的含气量是碳酸饮料获得安全的保证。

因CO2具有抑菌作用,故碳酸饮料一般不使用防腐剂,例如日本就禁止在碳酸饮料中使用防腐剂。

3.提高饮料口感

充入碳酸气的饮料具有清凉的爽口感,俗称刹口感。

(二)CO2溶解量及其计量单位

碳酸饮料最为重要的性质是其发泡性,发泡程度是由饮料中溶解的二氧化碳量决定的。二氧化碳的基本性质、来源、质量标准以及在饮料中的作用参见原料篇有关内容。水或调配好的饮料吸收碳酸气,即二氧化碳和水混合的过程称为碳酸饱和作用或碳酸化作用(Carbonation),用于碳酸化的设备称为碳酸化器(Carbonator)或气水混合机(器)。在一定压力和温度下,二氧化碳在水中的最大溶解量称为溶解度,这时气相进出液相的速度达到平衡,叫做饱和。任何配方的碳酸饮料都有一个较佳的碳酸化度。

饮料中碳酸气的含量通常是以溶解的容积倍数衡量的,常用的溶解量计量单位为本生容积,是在0.1MPa(1个大气压)下,温度为0℃时溶于一单位容积液体内的二氧化碳容积数。在美国有时用奥斯瓦德容积,这一单位忽略了本生容积的温度因素,只计算气压和当时温度下的二氧化碳的容积。欧洲大陆常用的溶解量单位为g/L。两者换算关系是1容积约等于2g/L(精确计算应为1.98g/L)。一个容量250mL的瓶装汽水,如果汽水中含3.5倍容积的CO2,则每瓶汽水含的CO2质量为0.25×3.5×2=1.75g。

(三)影响饮料二氧化碳溶解量的因素

碳酸化系统一般是由水冷却器、混合器和CO2净化器组成的。气水混合器的类型很多,有薄膜式、喷雾式、喷射式、填料塔式和静态混合器式等,碳酸化过程一般是在碳酸化罐或管以及填料塔内进行的。可在碳酸化罐上部安装喷头、塔板,将液体分散成薄膜或雾状,使液体和CO2充分接触,并进行混合。

影响液体碳酸化即影响饮料中二氧化碳溶解量的因素有很多,其中液体对二氧化碳的吸收力,二氧化碳的纯度以及液体的温度等一般属于混合器以外的因素。其余接触表面积,接触时间和压力三个可变因素,需要依靠混合器本身的结构和性能来决定。

1.气体混合系统的绝对压力和液体温度

在饮料工业中,碳酸气与水混合的压力通常控制在0.8MPa以下。在此压力范围内,CO2的溶解度仍服从亨利(Henry)定律和道尔顿(Dalton)定律,即温度不变时,气体溶解的容积与碳酸气的分压成正比。用公式表示就是:

V=pi/0.098=p/0.098+1

式中 V——溶解量,倍容积

pi——绝对压力,MPa

p——表压力,MPa

0.098——kgf/cm2与MPa的转换系数

在1个绝对大气压下(0.098MPa),温度15.56℃(60°F)时,1容积的水溶解1容积的二氧化碳,称为1气体容积,是碳酸饮料工业的计量单位。例如在15.56℃时,测得汽水的压力为0.098MPa时,按上述公式,可知V=p/0.098+1=1+1=2(倍容积)。同样在汽水压力为0.196MPa(2kgf/cm2)时,V=3。

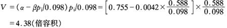
另一方面,在压力不变的情况下,溶解度随温度降低而增加,温度影响常数称为亨利常数,用H表示,。亨利常数值参见表2-3-1。同一饱和溶液,当温度升高时,亨利常数降低;而亨利常数降低时,绝对压力就要提高。由此可见,在饮料碳酸化时,水温愈高,达到规定含气量时所需的压力就愈高。但压力高时,气体的实际溶解度偏离亨利定律,其值小于理论值。在此情况下可以进行修正,用气体逸度代替压力,引入常数α、β,将亨利常数表示成压力的函数:

H=α-βpi/0.098

则 V=(α-βpi/0.098)pi/0.098

式中pi的单位同上,α、β的数值见表2-3-2。例如在25℃时测得碳酸饮料的压力为0.49MPa(pi=0.588MPa),则其二氧化碳溶解量为:

表2-3-1 碳酸气的亨利常数(98kPa)

表2-3-2 修正亨利常数的α、β值

(倍容积)

由碳酸气吸收系数表查得V=4.43,其结果基本接近。

根据亨利定律,在工艺设计中按饮料的含气量,考虑生产过程中的损耗就可以确定二氧化碳的混合倍数,选择适当的水温(1~4℃)便可确定气水混合压力和灌装压力(0.20~0.45MPa)。在检验时,测得容器或瓶子内的压力和饮料温度后,便可知道成品饮料中的二氧化碳体积倍数,工厂实际应用时可查阅碳酸气吸收系数表(含气量表)。详见第五篇第二章碳酸饮料标准附录A。

2.气体和液体相接触的面积和时间

气体与液体的接触面积越大,进入液体的二氧化碳越多,而且接触时间越长,液体中的二氧化碳含量越高。

碳酸气分压、水温和气液两相接触的表面积是同等重要的,而且都受到生产条件的限制。例如,提高压力要受到包装容器耐压性能的限制,并会降低灌装速度,增加操作费用。而降低水温至接近冰点时,制冷效率较低,制冷系统的操作费用急剧增加,因此水温一般不宜低于4~5℃。增加气体接触面也受到设计和经济等因素的限制,而且会增加混合机洗涤和消毒的麻烦。

3.液体对二氧化碳的容纳力

液体中存在的溶质的性质影响二氧化碳的吸收,有些液体更容易碳酸化,例如水比糖或盐溶液更具有对二氧化碳的容纳力。

4.二氧化碳纯度与混入的空气

当二氧化碳含有杂质特别是含有空气时,会阻碍二氧化碳的溶解。毫不夸张地说,空气是碳酸饮料工艺操作的大敌。水或饮料中的空气不仅影响碳酸化的效率,而且成品饮料中存在的氧能促使霉菌生长,引起香料等成分的氧化,导致饮料的严重败坏。

饮料中含有的空气除由于二氧化碳不纯外,还来自水及糖浆中溶解的空气,以及各种管路及设备中混入的空气。在98kPa压力、温度20℃时,二氧化碳以及氧和氮在单位容积水中的吸收系数分别为:CO20.88,O20.028,N20.015。根据道尔顿气体分压和亨利定律,混合气体中各气体被溶解的量不仅取决于各自在液体中的溶解度,而且取决于在混合气体中的分容积(分压)。在系统总压力下,CO2溶解度仅与其分压有关。假设混合气体中由99%的CO2和1%的空气(即0.2%的O2和0.8%的N2)组成,则各自的溶解量分别为:

CO2:0.88×99%=0.8712 容积

O2:0.028×0.2%=0.000056 容积

N2:0.015×0.8%=0.00012 容积

空气的溶解量为CO2+CN2=0.000056+0.00012=0.000176容积。而CO2的溶解量由0.88容积变为0.8712容积,减少0.0088容积,这表明0.000176容积的空气代替了0.0088容积的CO2。因此1容积的空气将降低0.0088/0.000176=50容积的CO2,就是说,1容积空气能将50容积的CO2挤出饮料。在碳酸饮料中,任何空气在饮料处于大气压力时都将很快逸出,例如在灌装工序的最后阶段,瓶子放气或容器打开时,这种突然的空气逐出现象称为“涌出”。另外除去溶解的空气以外,还有包含在液体中未溶解的气泡,这些气泡在灌装泄压阶段将很快逸出,激烈地搅动饮料,促使CO2逸出,这种现象称为冒泡。

事实上,混有空气的CO2在水中溶解时,氧和氮的比例不是通常空气的组成比例1∶4,而是1∶2,因此饮料中溶解的氧量比理论上多。更为复杂的是,在1个大气压和20℃温度下,三种气体的吸收系数会随温度和压力而变化,但变化较小。因此为方便起见,50倍容积往往作为一个参考标准。原料水、糖浆或饮料中载有的空气比溶解的空气更为有害。空气来源及防止方法参见表2-3-3。

表2-3-3 饮料中空气的来源及防止方法

为了尽可能去除原料水和糖浆中的溶存空气,减少空气对二氧化碳溶解量的影响,可以进行脱气处理。原料水先脱气还是糖浆与水混合后再脱气,可以根据饮料性质和工艺要求来决定。调味糖浆脱气要考虑香气的损失,一般先对原料用水脱气,然后再与糖浆混合。常用的脱气机是将水成薄膜状或雾状喷射到真空室内,也可将水经过填料真空室。脱气效率决定于真空度和液体的接触面积。

即使饮料中无空气,灌装容器顶隙中的空气也会部分被饮料吸收,为了减少和控制容器顶部空间的空气含量,有时在压盖前,采取机械轻敲、超声波振动或以碳酸水或饮料喷射,以刺激容器中的内容物,使其喷涌产生泡沫,顶走空气。

(四)碳酸化过程注意事项

如上所述,碳酸饮料的灌装分有两次灌装法(现调法)和一次灌装法(预调法)。预调法是将糖浆和水按比例混合后再进行碳酸化,将产品一次灌装入容器。现调法则是先将糖浆装入容器,然后再向容器中充入碳酸水,现调式灌装法的糖浆一般不进行碳酸化,因此,在水碳酸化时含气量需要比成品预期的含气量高,以补偿未碳酸化糖浆的需要。例如糖浆和水的比例为1∶5,成品的预期含气量为3倍容积,则碳酸化水的含气量应为3×6/5=3.6倍容积。

为了保证有效的和一致的碳酸化水平,在实际生产中需要注意一些关键问题,以下5点注意事项被称为“黄金法则”,应熟练掌握。

(1)保持一个合理的碳酸化水平 无论是预调法还是现调法,水或成品在混合机或贮存罐中都在一定温度和压力条件下形成饱和或不饱和的溶液。效率高的混合机由于接触面积大和时间长,足够形成饱和溶液,而效率低的混合机只能形成不完全饱和溶液。不饱和溶液的气体压力超过实际含气量所需的压力,这个超额压力叫作过压力。

对碳酸饮料来说,碳酸化程度过高,会在放气或放气以后的时间里产生不正常的气体逸出,这从质量控制和CO2消耗方面来说是极不合理的。另外某些产品还会由于过度碳酸化而失去香味的魅力。

(2)保持一个充分的过压程度 混合机和灌装机的连接一般采用直接连接法,由于饱和溶液从混合机流向灌装机时压力降低,温度可能升高,这时饱和溶液立即变成过饱和溶液,饮料中的二氧化碳会迅速涌出。尤其在灌装压力降低时,往往会因泡沫过多而使灌装不满。因此灌装机常需保持一个过压力(额外压力),即保持一个高于在灌装机内饱和溶液所需的压力。这样在灌装完毕泄压时,虽然大量的压力气体迅速由瓶中排出,但首先排出的是过压力。由于惯性的作用,液体中CO2气分子扩散的方向不可能迅速转变为相反的方向,即与泄压的气体方向一致,因此,溶液中溶解的CO2气不会迅速从液体中分离而产生反喷。

一个已知情况的最佳过压程度需要凭经验决定,一般法则是灌装机压力和容器压力平均压差为98kPa(1kgf/cm2)时较为有利。这一过压将保持碳酸化饮料的稳定,直到灌装后期在放气操作时,容器内压力下降时为止。

为了得到所需的过压力,目前生产中通常使混合机的压力高于灌装机压力19.6kPa,灌装机的压力又比最终产品含气量时的压力高98kPa。为了解决混合机和灌装机之间的压力差,可将混合机安装在高位来实现(图2-3-3)。

图2-3-3 提高混合机位置形成过压力

另一方面,也可在混合机和灌装机之间使用过压泵(有时也称去沫泵),产生额外压力。过压泵的特性必须为一平滑曲线,以保证不同含气量的饮料产品均可获得同等程度的过压力。

(3)自始至终将空气控制在最低限度 根据空气的各种污染源,切实采取有效措施,防止空气进入液体饮料中。另外定期向混合机灌注液体(水或消毒剂),然后用CO2排出,可以排除积存的空气。过夜时,碳酸化罐经常保持一定的压力,以防空气进入。

(4)保证水或产品中无杂质 当有泄气杂质存在时,会在排气和排气以后促使CO2过度逸出。最常见的杂质是空气、CO2中的油或其他杂质、瓶中的碱或小片碎标签、水中的杂质以及糖浆中未被溶解的糖等。

(5)保证恒定的灌装压力 混合机和灌装机的压力产生波动时会影响产品最终的碳酸化度,同时过压下降时会引起喷涌,导致碳酸化控制失灵。灌装机贮液槽液面升高时会淹没反压阀,而液面降低时则灌装不了成品。

如果贮液槽液面异常升高,一般应打开混合机和灌装机之间的气管阀门。也可进行自动控制,当液面升高时让气进入料槽,防止液面进一步升高,并将液面压到正常工作位置。

随便看

 

文网收录3541549条中英文词条,其功能与新华字典、现代汉语词典、牛津高阶英汉词典等各类中英文词典类似,基本涵盖了全部常用中英文字词句的读音、释义及用法,是语言学习和写作的有利工具。

 

Copyright © 2004-2024 Ctoth.com All Rights Reserved
京ICP备2021023879号 更新时间:2025/10/19 10:39:40