网站首页  词典首页

请输入您要查询的字词:

 

字词 磁与磁路
类别 中英文字词句释义及详细解析
释义

磁与磁路


1.磁场的基本物理量

(1)磁感应强度

磁感应强度是表示磁场中某点磁场的强弱和方向的物理量,它是一个矢量。磁感应强度用符号B表示。磁场中某点磁感应强度B的方向就是该点磁力线的切线方向,即放在该点的小磁针北极(N极)所指的方向;其大小的数学表达式为:

式中 l——与磁场方向垂直的导体在磁场中的有效长度(m);

I——通过导体中的电流(A);

F——通电导体受到的电磁力(牛顿,用符号N表示);

B——磁感应强度(特斯拉,用符号T表示)

也就是说,一根与磁力线垂直的1m直导体,如果通过1A电流时,所受到的电磁力为1N,则磁感应强度就是1T。

磁感应强度另一个较小的单位是高斯,用符号GS表示。两者的关系是:

1T=104GS

如果磁场中各处的磁感应强度B相同,则这样的磁场叫做均匀磁场或匀强磁场。

(2)磁通

磁通是描述磁场在某一范围内分布情况的物理量,把磁感应强度B和与它垂直的某一截面积S的乘积,称为通过该面积的磁通。磁通用符号Φ表示,其数学表达式为:

Φ=BS (2-54)

式中 B——磁感应强度(T);

S——垂直于磁场方向截面积(m2);

Φ——磁通(韦伯,用符号Wb表示)。

磁通的数学表达式也可写成:

上式表明,磁感应强度的大小等于与磁场方向垂直的单位面积上的磁通。所以磁感应强度B又称为磁通密度,简称磁密。

磁感应强度单位的另一种等效形式是Wb/m2,它和T的关系是:

1T=1Wb/m2

当磁感应强度B与作用平面S不垂直时,磁通的数学表达式为:

Φ=B·S·sinα (2-56)

式中 α——磁感应强度B与作用平面S的夹角。

[例2-21] 在B=0.6T的均匀磁场中,有一面积为10-2m2的平面,求平面与B的夹角分别为0°、30°、60°90°时通过此平面的磁通。

[解] 因为Φ=BSsinα,所以:

当α=0°时,

Φ=0.6×10-2×0=0;

当α=30°时,

Φ=0.6×10-2×0.5=3×10-3(Wb):

当α=60°时,

当α=90°时,

Φ=0.6×10-2×1=6×10-3(Wb)。

(3)磁导率

线圈管的磁性强弱,即磁感应强度的大小,不但与电流、匝数有关,而且与磁场中的磁介质有着密切的关系。不同的磁介质具有不同的导磁性能,通常用磁导率来表示磁介质的导磁性能,磁导率用符号μ表示,不同的媒介质具有不同的磁导率。

磁导率的单位是亨利/米(用符号H/m表示)。

由实验测得真空中的磁导率,用符号μ0表示,其大小为:

μ0=4π×10-7H/m

任一磁介质的磁导率与真空中的磁导率的比值叫做相对磁导率,用符号μr表示,其数学表达式为:

相对磁导率的物理意义是:在其他条件相同的情况下,磁介质中的磁感应强度是真空中磁感应强度的若干倍。

根据相对磁导率μr的大小,可以把物质分为三类:

①反磁物质,其相对磁导率μr≤1,如铜、银等。反磁物质仅受到磁体非常微弱的排斥。

②顺磁物质,其相对磁导率μr>1,如空气、锡、铝等。

③铁磁物质,其相对磁导率,如铁、镍、钴及其合金等。在相同条件下,铁磁物质中产生的磁场要比真空中产生的磁场强几千甚至上万倍,如坡莫合金的相对磁导率μr可高达几万到十万以上。根据铁磁物质的磁性能,可以分为软磁材料,硬磁材料和矩磁材料三类。

软磁材料磁滞回线很窄(铁磁材料在反复磁化过程中,磁感应强度B的变化总是滞后于磁场强度H的变化,这一现象为磁滞,所得的B-H曲线叫做磁滞回线),剩磁和矫顽力都很小,容易磁化也容易去磁,磁滞损耗小,如硅钢片、坡莫合金、铁淦氧等。

硅钢片主要用于电动机、变压器、电磁铁中。

坡莫合金用于高精度的交流仪表及小型变压器中。

铁淦氧磁体(铁氧体)和磁介质(铁粉芯)被广泛用于无线电电子工业和计算机技术方面。如收音机中的磁性天线(磁棒),电视机中的偏转线圈的磁芯都属于这种材料。

硬磁材料磁滞回线较宽,具有很强的剩磁和较大的矫顽力,必须采用较强的外磁场才能使它们磁化,但一经磁化,取消外磁场后,磁性不易消失。主要用于制造各种形状的永久磁铁和恒磁(如扬声器磁钢)。

矩磁材料磁滞回线呈矩形,在很小的外磁场作用下就能被磁化,并达到饱和,去掉外磁场后,磁性仍保持与饱和时一样。主要用于制造记忆元件(如电子计算机中的磁芯)。

(4)磁场强度

为了消除磁介质的影响,使磁路计算方便,而引入磁场强度这个物理量,磁场强度用符号H表示。磁场中任一点磁场强度的大小与磁介质的性质无关,只与产生磁场的电流及载流导体的空间布置情况有关。

磁场强度是一个矢量,其大小定义为磁场中某点的磁感应强度B与磁介质磁导率μ的比值,其数学表达式为:

磁场强度的单位是安/米(用符号A/m表示)。

磁场强度H的方向和所在点的磁感应强度B的方向相同。

2.电感及电感元件的串联和并联

(1)电感

用导线绕制的线圈叫做电感元件。当通过线圈本身的电流发生变化时,使穿过线圈回路的磁通发生变化,则线圈中产生一种阻碍电流变化的感生电动势,这种现象叫做自感。由自感产生的感生电动势叫做自感电势,用符号eL表示。

为了得到eL和外电流i之间的定量关系,把线圈的磁链(N匝线圈的磁通为线圈的磁链,用符号Ψ表示)和电流的比值叫做自感系数,又叫电感,用符号L表示,其数学表达式为:

式中 Ψ——电流i通过线圈时产生的自感磁链(Wb);

i——通过线圈的电流(A);

L——电感(亨利,用符号H表示)。

常用的电感单位还有毫亨(mH)和微亨(μH)。换算关系如下:

1mH=10-3H

1μH=10-3mH=10-6H

电感是表示线圈产生自感磁链本领大小的物理量,其大小取决于线圈的结构(匝数、尺寸)和铁芯的磁导率。几种典型结构电感元件电感的计算公式如下:

①长螺管线圈(线圈长度l与线圈骨架半径R之比即)

式中 μ——磁介质的磁导率(H/m);

N——线圈的匝数;

S——螺管线圈的截面积(m2);

l——线圈的长度(m);

L——电感(H)。

②短螺管线圈

式中 D——线圈直径(m);

d——线圈圆形导线直径(m)。

③矩形线圈

式中 r——线圈圆形导线半径

a——矩形线圈中心宽(m);

b——矩形线圈中心长(m);

④圆环

式中 r——圆环导线截面的半径(m);

R——圆环中心环圆的半径(m)。

⑤圆截面直导线

式中 r——圆形导线截面的半径(m);

l——导线的长度(m)。

(2)电感元件的串联

①无互感效应时的电感元件串联等效电感的计算。

图2-30为电感元件无互感效应时的串联电路及其等效电路。

图2-30 电感元件无互感效应时的串联电路及其等效电路

等效电感计算的数学表达式为:

L=L1+L2 (2-64)

当n个电感元件串联时,其等效电感计算的数学表达式为:

L=L1+L2+…+Ln (2-65)

②有互感效应时的电感元件异名端串联等效电感的计算。

图2-31为有互感效应时的电感元件异名端串联电路及其等效电路。

图2-31 电感元件有互感效应时的异名端串联电路及其等效电路

图中“·”——两线圈的同名端(同名端:线圈绕向一致且感应电动势极性相同的端点叫做同名端,用符号·表示;反之为异名端);

M——两线圈的互感(一个线圈中的电流发生变化,使另一个线圈中产生感应电动势的电磁感应现象叫做互感现象。M为互感系数,简称互感;其大小取决两线圈的匝数,几何尺寸,相对位置和磁介质)。

等效电感计算的数学表达式为:

L=L1+L2+2M (2-66)

③有互感效应时的电感元件同名端串联等效电感的计算。

图2-32为有互感效应时的电感元件同名端串联电路及其等效电路。

图2-32 电感元件有互感效应时的同名端串联电路及其等效电路

等效电感计算的数学表达式为:

L=L1+L2-2M (2-67)

(3)电感元件的并联

①无互感效应时的电感元件并联等效电感的计算。

图2-33为电感元件无互感效应时的并联电路及其等效电路。

图2-33 电感元件无互感效应时的并联电路及其等效电路

等效电感计算的数学表达式为:

当n个电感元件并联时,其等效电感计算的数学表达式为:

②有互感效应时的电感元件异名端并联等效电感的计算。

图2-34为有互感效应时的电感元件异名端并联电路及其等效电路。

图2-34 电感元件有互感效应时的异名端并联电路及其等效电路

等效电感计算的数学表达式为:

③有互感效应时的电感元件同名端并联等效电感的计算。

图2-35为有互感效应时的电感元件同名端并联电路及其等效电路。

图2-35 电感元件有互感效应时的同名端并联电路及其等效电路

等效电感计算的数学表达式为:

3.磁路

工程上把能约束在铁芯及其气隙所限定的范围内的磁通路径称为磁路。

磁路可分为无分支磁路和有分支磁路。

由励磁电流产生的磁通可分为主磁通和漏磁通两部分。

全部在磁路中闭合的磁通称为主磁通。

部分经过磁路,部分经过磁路周围的物质而闭合的磁通以及全部不经过磁路的磁通都称为漏磁通。由于漏磁通只占总磁通很小一部分,所以常将漏略去不计。

4.磁路的欧姆定律

磁路中的磁通与磁通势成正比,与磁阻成反比,这与电路中的欧姆定律相似,故称为磁路的欧姆定律。其数学表达式为:

式中 Φ——磁通(Wb);

F——磁通势(A);

Rm——磁阻(H-1);

N——线圈匝数;

I——通过线圈的励磁电流(A);

l——磁路长度(m);

S——磁路截面积(m2);

μ——磁介质的磁导率(H/m)。

磁路中的磁通Φ相当于电路中的电流I;磁通势F相当于电动势E;磁阻Rm相当于电阻R。

磁阻,即与磁路长度、磁路截面积和磁介质的磁导率有关。磁路越长,磁阻越大;截面积越大,磁阻越小;且磁阻与磁路磁介质的磁导率μ成反比。

通常磁路由几段截面不同的铁磁物质组成,铁磁物质的磁导率μ又不是常数,所以用磁路欧姆定律计算磁路很不方便,一般用磁路欧姆定律对磁路进行定性分析。

5.磁路的基尔霍夫第一定律

对于有分支磁路,如图2-36所示,任意取一个闭合面S,根据磁通的连续性原理,进入闭合面的磁通取负号,一定等于离开闭合面的磁通取正号,或者说,通过闭合面的磁通的代数和等于零,就叫做磁路的基尔霍夫第一定律。即:

图2-36 磁路基尔霍夫第一定律

Φ123 (2-73)

或 -Φ123=0

即 ∑Φ=0 (2-74)

式中 Φ——磁通(Wb)。

6.磁路的基尔霍夫第二定律

磁路往往由多种材料制成,有时在磁路中还包含气隙,不同的材料其磁导率也就不同,因而磁路各部分的磁场强度H也会有所不同;由于各段的截面可能不同,所以各段的磁感应强度B也可能不同。但磁路中沿任意闭合回路的磁压降Hl即沿着磁路的磁场强度和磁路的平均长度的乘积的代数和等于沿该回路磁通势NI的代数和,就叫做磁路的基尔霍夫第二定律。即:

式中 Hl——磁压降(A);

NI——磁通势(A);

∑——总和。

上式中,若H的方向与闭合回路l的方向一致,则Hl前取正号,否则取负号;电流I的方向与闭合回路的方向符合右手螺旋法则,即安培定则,则NI前取正号,否则取负号。磁通势F=NI是通过线圈的励磁电流产生的。

7.恒定磁通无分支磁路的计算.

已知磁通Φ求磁通势NI,在漏磁通忽略不计时,无分支磁路的计算可接下述步骤进行:

①将磁路进行分段,把材料相同、截面积相同的部分算作一段。

②根据磁路尺寸算出各段的截面积平均长度。

当磁路中有气隙存在时,磁通经过气隙,将向外扩张形成边缘效应。当空气气隙长度δ很短时,空气气隙有效面积可用下面的经验公式近似计算:

铁芯截面是a×b矩形时,

S=(a+δ)(b+δ)≈ab+(a+b)δ; (2-76)

铁芯截面是半径为γ的圆形时,

当δ很小时,δ2项忽略不计。

③由已知磁通Φ,算出各段磁路的磁感应强度B,

④根据每一段的磁感应强度,对于铁磁性材料可查基本磁化曲线(见图2-37),对于空气气隙可用公式,

图2-37 几种常见的铁磁材料的基本磁化曲线

D11——热轧低硅钢片,D41——热轧高硅钢片

算出。

⑤根据每一段的磁场强度和平均长度求出磁压降,H1l1、H2l2、H3l3……

⑥根据磁路的基尔霍夫第二定律,求出所需的磁通势,即:

∑NI=∑Hl (2-80)

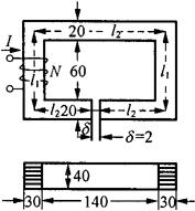
[例2-22] 图2-38所示磁路中,铁芯用D11硅钢片叠成,尺寸注明在图上,单位为mm。励磁绕组的匝数N=1000匝,求在该磁路中获得Φ=1×10-3Wb所需的励磁电流是多少?(片间绝缘忽略不计)

图2-38

[解] ①磁路虽然只有硅钢片和空气两种材料构成,但硅钢片部分有两种截面积,因此应分为三段。

②每段平均长度和截面积

l1=(100-20)×10-3×2=0.16(m)

l2=(200-30)×10-3×2-2×10-3=0.338(m)

l3=δ=2×10-3(m)

S1=(30×40)×10-6=1.2×10-3(m2)

S2=(20×40)×10-6=8×10-4(m2)

S3=20×10-3×40×10-3+(20×10-3+40×10-3)×2×10-3

=9.2×10-4(m2)

③每段的磁感应强度

④每段的磁场强度

由图2-37中查得

H1=250A/m

H2=700A/m

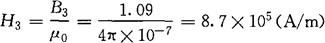
空气气隙中的磁场强度

⑤每段的磁压降

H1·l1=250×0.16=40(A)

H2·l2=700×0.338=236.6(A)

H3·l3=8.7×105×2×10-3=1740(A)

⑥所需磁通势

励磁电流为

从以上计算可以看出,空气气隙虽然很短,但空气气隙的磁压降H3·l3却占总磁压降的86.2%,这是由于空气气隙的磁导率比硅钢片的磁导率小得多的缘故。为了减少能耗,如果要求空气气隙的磁场很强,只要情况许可,气隙总是要尽量狭小些。在直流电机和电表中,气隙往往只有一到几个毫米。

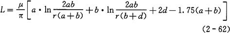
8.恒定磁通对称分支磁路的计算

对称分支磁路存在对称轴,沿中间支路中心线剖开分成两部分无分支磁路,再用无分支磁路计算的方法。但两部分磁通势都是原来的磁通势,而磁通等于中间支路磁通的一半。

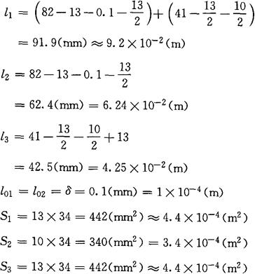
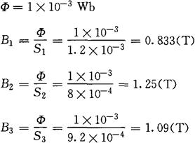
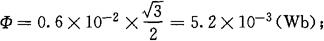
[例2-23] 图2-39所示磁路中,E型铁芯用D11硅钢片叠成,磁轭用铸钢制成,尺寸注明在图上,单位为mm。求铁芯中柱的磁通Φ=6×10-4Wb时,所需磁通势为多少?(片间绝缘忽略不计)

图2-39

[解] ①根据材料和截面不同,将磁路分为5段。

②各段磁路的平均长度及截面积

由于气隙很小,故气隙的截面近似等于所对应的铁芯截面,即:

S01=4.4×10-4m2

S02=3.4×10-4m2

③计算各段磁路的磁感应强度

④求各段的磁场强度

由图2-37中查得

⑤所需磁通势

NI=H1l1+H2l2+H3l3+H01l01+H02l02

=185×9.2×10-2+280×6.24×10-2+55×4.25×10-2+(545600+705600)×1×10-4

=17+17.5+2.34+125.1

=162(A)

9.恒定磁通一般分支磁路的计算

计算方法类似于用支路电流法求解复杂电路,具体的计算步骤如下:

①画出磁通的参考方向,励磁电流的参考方向及回路循行方向。

②算出各段的截面积S和各段磁路的平均长度l。

③用磁路的基尔霍夫第一定律∑Φ=0列方程。

④用磁路的基尔霍夫第二定律∑NI=∑Hl列方程。

⑤根据已知磁通Φ,采用计算法或试探法进行Φ→B→H→Hl次序计算。

10.交流铁芯线圈

当铁芯线圈(其电阻忽略不计)的入端电压按正弦规律变化时,则铁芯中的磁通也按正弦规律变化。即

式中 Um=NΦmω=NΦm2πf

两边除以

在相位关系上,端电压超前磁通90°,在量值关系上,端电压有效值U=4.44NfΦm

式中 f——外加交流电源电压的频率(赫兹,用符号Hz表示);

N——线圈匝数;

Φm——铁芯中磁通的最大值(Wb);

U——外加交流电源电压的有效值(V)。

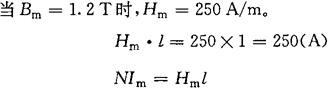
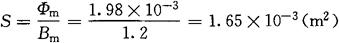
[例2-24] 要绕制一个铁芯线圈,已知电源电压是220V,频率是50Hz,硅钢片的厚度是0.5×10-3m,磁路平均长度是1m,线圈匝数为500。要想使铁芯中的磁感应强度为1.2T,问铁芯的截面S应多大?电流的最大值应为多少?(设线圈电阻和漏磁通可以忽略)

[解] U=4.44NfΦm

当Bm=1.2T时,铁芯的截面积为:

由图2-37中查得

随便看

 

文网收录3541549条中英文词条,其功能与新华字典、现代汉语词典、牛津高阶英汉词典等各类中英文词典类似,基本涵盖了全部常用中英文字词句的读音、释义及用法,是语言学习和写作的有利工具。

 

Copyright © 2004-2024 Ctoth.com All Rights Reserved
京ICP备2021023879号 更新时间:2025/10/18 15:26:41