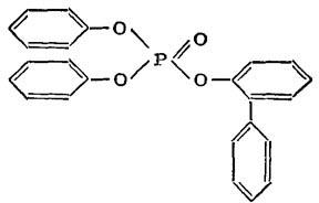
【结构式】:

【释文】:
性质 浅色明亮液体。分子量402。酸度(以磷酸计)<0.05%。相对密度1.228(20℃)。粘度30~55厘泊(60℃)。凝固点-7.5℃。沸点220~290℃(2毫米汞柱)。闪点(开杯法)225℃。着火点>400℃。挥发度0.3%(100℃,10小时)。表面张力41.7达因/厘米(60℃)。膨胀系数7.2×10-4/℃。折光率1.582~1.590(60℃)。可溶于许多普通溶剂,不溶于水。
用途 本品为阻燃性增塑剂,挥发性比TCP小,毒性低,阻燃性和电性能好,主要用于醋酸纤维素、硝酸纤维素和乙基纤维素。
国外商品名

