网站首页  词典首页

请输入您要查询的字词:

 

字词 维氏和显微硬度
类别 中英文字词句释义及详细解析
释义

维氏和显微硬度


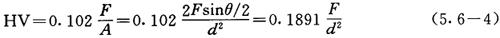
维氏硬度试验法的原理见图5.6-4。规定的金刚石正四棱角锥体,在试验力F作用下压入试件,保持一段时间后卸去该力,测量所得压痕的两对角线长。维氏硬度以压痕表面积A上的平均压力表示:

图5.6-4 维氏硬度试验原理

式中 HV——维氏硬度值;

F——作用在压头上的试验力(N);

θ——压头两相对面夹角(=136°);

d——压痕对角线的平均长度(mm)。

随着试验力F的不同,对维氏硬度的称呼也有所不同。当F>49N(5kgf)时,称为维氏硬度。当F为(9.8~49)N时,称为小负荷维氏硬度。当F为(0.49~9.8)N时,称为显微硬度。当F为(0.98~1.96)N时,又称为显微维氏硬度。

由式(5.6-4)可见,对角线愈长,则硬度值愈小,说明抗塑性变形的能力愈低。这类硬度试验的压头还有多种形状和规格,相应地有不同的名称,但在原理上是相同的。

维氏硬度的试验力范围为49.03N(5kgf)~980.7N(100kgf),硬度标尺为HV5~HV100。维氏硬度值的表示方法为:符号HV后面的数字表示所采用的试验力,前面的数字为硬度值。例如450HV30,表示在294.2N(30kgf)试验力作用下,保持10~15秒时测定的维氏硬度值为450。当保持时间为10~15秒时,表示的数据不予标注。又如450HV30/20,表示在294.2N试验力作用下,保持20秒时测得的硬度值为450。维氏硬度试验适用于金属、合金及其表面层硬度的测量,软硬材料均可,特别适用于试验面积较小、较薄而硬度值又较高的试样。显微维氏硬度试验适用于测量极薄的或特别小的零部件、表面硬化层、镀层及金相组织的硬度。

维氏(或显微)硬度基准装置包括基准维氏(或显微)硬度计和基准压头组,用于检定标准维氏(或显微)硬度块。维氏基准复现的硬度范围为(5~1000)HV,不确定度为0.9%(3σ)。显微基准的试验力范围为(0.4903~9.807)N,测量范围为(5~1000)HV,不确定度为(1.5~3.0)%。标准维氏硬度块的硬度范围为≤225HV,>225HV~400HV,>400HV它们的均匀度为(2.0~3.5)%,稳定度为(1.0~1.5)%。标准显微硬度块的硬度范围为(700~800),(400~500),(200~300)HV,它们的均匀度为(2.0~4.0)%,稳定度为(2.0~4.0)%。

维氏硬度计的试验力允差为±1.0%,金刚石棱锥体压头相对面夹角为136°±0.5°,顶端横刃不大于2μm。测量装置的误差为±0.001mm(对d≤0.2mm)和±0.5d%(对d>0.2mm)。综合检定时的示值误差为±3.0%(对HV5~HV20)和±2.0%(对HV30~HV100)。显微硬度计的示值允差为±(3.5~5.0)%,示值变动度不大于(3.5~6.0)%。

【参考文献】:

[1]鲁绍曾主编,现代计量学概论第11章力学计量,中国计量出版社,1987。

[2]王江主编,现代计量测试技术第16章力学计量技术,中国计量出版社,1990。

[3]王立吉,现代计量测试发展动态,现代计量测试,1993;1∶3~9。

[4]鲁绍曾主编,计量学辞典,中国计量出版社,1995。

[5]施昌彦,王大充,液压式标准测力机的有效面积和压力波动,计量学报,1986;4∶296~304。

[6]施昌彦,测力称重计量的某些发展动向,现代计量测试,1994;6∶2~4。

[7]天津市计量管理局编,力学计量,中国计量出版社,1985。

[8]国家技术监督局编,国家计量检定系统,中国计量出版社,1991。

随便看

 

文网收录3541549条中英文词条,其功能与新华字典、现代汉语词典、牛津高阶英汉词典等各类中英文词典类似,基本涵盖了全部常用中英文字词句的读音、释义及用法,是语言学习和写作的有利工具。

 

Copyright © 2004-2024 Ctoth.com All Rights Reserved
京ICP备2021023879号 更新时间:2026/5/31 11:07:24