网站首页  词典首页

请输入您要查询的字词:

 

字词 维生素A的测定
类别 中英文字词句释义及详细解析
释义

维生素A的测定


方法一:紫外分光光度法测定维生素A含量

紫外分光光度法,不用加显色剂显色,可直接测定维生素A的含量,对低含量的样品测定结果也较准确,且操作简便快速。

试剂

(1)乙醚:不应含有过氧化氢。

(2)石油醚(馏程30℃~60℃):重蒸。

(3)无水硫酸钠。

(4)洗脱液:乙醚在石油醚中浓度的体积比分别为:4%,8%,12%,16%,20%,24%,30%,35%、40%,45%,50%。

(5)80%氢氧化钾溶液。

(6)维生素A油剂。

(7)无水乙醇:不含醛类,

(8)焦性没食子酸:粉状。

(9)25%~28%氨水。

(10)25%三氯化锑氯仿溶液:称25克三氯化锑,溶于100毫升氯仿中,贮存于棕色瓶中。

(11)中性氧化铝(层析用100~200目):中性氧化铝在550℃马福炉中活化5.5小时,降温后装瓶,冷却后每100克氧化铝加4毫升水,用力振摇,使无块状物,瓶口密封贮存于干燥器内,16小时后使用。

(12)碱性氧化铝(层析用100~200目):碱性氧化铝在120℃烘箱中烘4小时后,冷却后称100克,置试剂瓶中,加水4毫升,用力振摇使无块状,密封瓶口,存于干燥器内,16小时后使用。

操作步骤

1.提取:准确称10克样品(约含维生素A2500I·U.)置烧杯中,加入40毫升水搅匀,移入250毫升分液漏斗中,分别加入5毫升氨水,35毫升无水乙醇,混匀,然后用乙醚进行抽提,每次用40毫升乙醚,共抽提3次。收集乙醚层,每次用水100毫升洗涤乙醚层共3次。水层再用30毫升乙醚抽提一次。合并所用乙醚。在索氏脂肪抽提器中蒸发除去乙醚。(或在氮气流下蒸发除去乙醚)。

2.皂化

(1)待瓶内乙醚蒸发除尽后,加入30毫升80%氢氧化钠溶液,40毫升无水乙醇和0·8克焦性没食子酸,在83±1℃的水浴中进行皂化30分钟。

(2)冷却后移入250毫升分液漏斗中,加入60毫升水,用40毫升乙醚共抽提3次,合并乙醚抽提液,用水洗至中性,按上述方法采用索氏脂肪抽提器(或在氮气流下)除去乙醚,待瓶内乙醚蒸发后,用5毫升石油醚溶解瓶中内容物,并移入刻度试管中。

3.层析:层析柱规格:Ф1cm,长30cm,具砂芯玻璃板,具活塞。

(1)向层析柱中依次装入8cm高的中性氧化铝,2cm高的碱性氧化铝及1cm无水硫酸钠,用石油醚浸透,将皂化后的样品溶液(即5毫升石油醚样品溶液(缓慢地移入柱内,以1~2毫升的石油醚洗涤试管后,并入柱内,石油醚流速控制在每分钟35滴左右,当液面下降至接近硫酸钠表面时,加入5毫升石油醚,随后再逐次加入5毫升4%,8%,12%,16%,20%,24%,30%,35%,40%,45%洗脱液,最后用50%洗脱液洗脱。

(2)层析柱上第一个黄色层析层,一般是β-胡萝卜素,此带在12%洗脱液前后洗出,收集于25毫升容量瓶中至流出之洗脱液不呈黄色为止。此液收集后可供测定β-胡萝卜素用。

(3)维生素A一般在50%洗脱液中流出,用5毫升刻度试管收集洗脱液,每管收集1毫升,共收集若干管。

(4)检验:从收集的洗脱液中,吸0.2毫升置小试管中,加入0.3毫升25%三氧化锑溶液,溶液如呈蓝色,表明有维生素A存在。

(5)分别从含有维生素A的各管中准确吸取0.5毫升,置10毫升容量瓶中,以石油醚定容。

4.样品测定:用紫外分光光度计,以石油醚为空白,1cm石英比色皿,波长325nm处测定消光度。

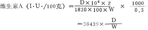
5.计算:

式中:D:消光度;

W:样品的重量(克);

0·3:每0.3微克维生素相当于单位);

1830:石油醚中维生素A的(λ325nm)。

附:β-胡萝卜素的测定:

(1)将(二)维生素A测定中《3②》的,β-胡萝卜素提取液用石油醚定容至25毫升。

(2)440~456毫微米波长范围内,每隔2毫微米以石油醚作对比,测定其吸收率(1厘米玻璃比色皿)。

(3)计算:

式中:D:吸收率;

W:样品重量(克);

2500:石油醚中β-胡萝卜素的

〔注〕:6微克β-胡萝卜素=1微克维生素A醇。

方法二:

维生素A比色测定法(三氯化锑比色法)

维生素A在氯仿溶液中与三氯化锑作用,产生蓝色化合物,蓝色的深浅与样品溶液中所含维生素A的量成正比,可进行比色测定,

试剂

(1)正己烷。

(2)氯仿。

(3)20%三氯化锑氯仿溶液。

(4)丙酮-己烷混合洗脱液:①4%丙酮-己烷混合液,②15%丙酮-己烷混合液。

(5)乙醚:不应含有过氧化氢。

(6)无水硫酸钠。

(7)80%氢氧化钠。

(8)无水乙醇:不含醛类。

(9)焦性没食子酸:粉状。

(10)维生素A标准溶液:

标准溶液A(1000I·U·/毫升):称醋酸维生素A0·1克(1克=1000000I·U·),用氯仿溶解,移入100毫升容量瓶中,用氯仿定容。

标准溶液B(100I·U·/毫升):吸取维生素A标准溶液A10毫升,置100毫升容量瓶中,用氯仿定容,临用前配制。

标准溶液C(10I.U·/毫升):吸取维生素A标准溶液B10毫升,置100毫升容量瓶中,用氯仿定容,临用前配制。

(11)中性氧化铝:其活化方法同紫外分光光度法。

操作步骤

1.样品处理:样品中维生素A的提取与皂化,均与紫外分光光度法相同。只有一点不同:即最后提取液蒸干后残渣部分不用石油醚溶解,而改用5毫升正己烷溶解残渣。备用。

2.层析

(1)层析柱规格:Ф12×300mm,下有砂芯玻璃板,具活塞。

(2)层析柱的制备:填装6cm高的中性氧化铝,上面再盖以0·5cm厚的无水硫酸钠,然后用正己烷浸透,即刻使用。

(3)当正己烷液面下降至接近无水硫酸钠顶部时,加入5毫升样品正己烷抽提液,流速每秒2滴左右。

(4)用4%丙酮-己烷混合液25毫升先将β-胡萝卜素洗出,用紫外灯照射,观察维生素A层析带位置(一般此带位置在氧化铝顶部下2cm处),弃去洗液。

(5)再用15%丙酮-己烷35毫升洗涤维生素A,直至洗液中不再显荧光为止。将收集的维生素A洗脱液在真空下或氮气流下(60~65℃)蒸干,加1毫升氯仿溶解残渣,备用。

3.标准曲线的绘制:

(1)波长,620nm

(2)用氯仿调整分光光度计的零点。

(3)取1毫升氯仿,加入9毫升三氯化锑溶液,测其消光度,作空白对照(必须在3~6秒内测完)

(4)根据样品中维生素A含量的高低,采用维生素A标准溶液B或C。然后依次吸取维生素A标准溶液(B或C)1.0,2.0,3.0,4.0,5.0毫升,分别置于10毫升容量瓶中,用氯仿定容。

(5)分别吸取上述五种标准溶液1毫升,加入9毫升三氯化锑溶液进行测定。

(6)以消光度为纵坐标,以维生素A含量为横坐标绘制标准曲线。

4.测定

(1)用氯仿调节零点。

(2)用1毫升氯仿加9毫升三氯化锑作空白对照,在620nm处测定其消光度。

(3)取样品抽提液1毫升,加9毫升三氯化锑溶液,测其消光度。

5.计算:

式中:C1:样液测定时从标准曲线查出维生素A量(I.U.)。

C2:空白对照从标准曲线查出维生素A量(I.U.)。

F:样品溶液稀释倍数。

W:样品重量(克)

〔注〕①每国际单位(I.U.)维生素A相当于0.3μg维生素A。

②实验时应避光操作,因维生素A受光破坏。

③加入显色剂后,必须在6秒钟内比色,否则褪色。

④三氯化锑腐蚀很强,不能沾在手上。

⑤三氯化锑与水可生成白色沉淀,所以不能碰到水,用过的器皿须先用稀盐酸浸泡后再清洗。

随便看

 

文网收录3541549条中英文词条,其功能与新华字典、现代汉语词典、牛津高阶英汉词典等各类中英文词典类似,基本涵盖了全部常用中英文字词句的读音、释义及用法,是语言学习和写作的有利工具。

 

Copyright © 2004-2024 Ctoth.com All Rights Reserved
京ICP备2021023879号 更新时间:2025/10/17 20:05:09