网站首页  词典首页

请输入您要查询的字词:

 

字词 缓和曲线的特征及曲线方程
类别 中英文字词句释义及详细解析
释义

缓和曲线的特征及曲线方程


对于某一缓和曲线我们已知的数据有:

1)路线的转角△;

2)根据公路的等级和地形状况确定的圆曲线半径R;

3)缓和曲线的长度,可根据公路的等级和地形情况依表11-5查得;

4)交点JD的里程和曲线加桩的整桩间距。

表11-5 公路按等级与地形规定缓和曲线的长度

1.回旋曲线的特征和方程

缓和曲线是回旋曲线的一部分,回旋曲线的几何特征是:曲线上任何一点的曲率半径ρ与该点到曲线起点的长度l成反比。即:

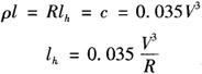
式中 c——比例参数。我国公路设计规范规定c=0.035V3,V为设计的行车速度,以km/h计。

在缓和曲线的起点l=0,则ρ=∞。在缓和曲线的终点(与圆曲线衔接处),缓和曲线的全长为lh,缓和曲线的半径ρ等于圆曲线的半径,即:ρ=R。故上式可写成:

可知,设计的行车速度愈快,缓和曲线的长度应愈长;设计的圆曲线半径愈大,则缓和曲线的长度就可以相应缩短一些;而当圆曲线半径R达到一定的值以后,就可以不设置缓和曲线了。

2.缓和曲线的切线角公式

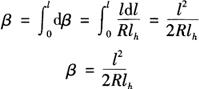
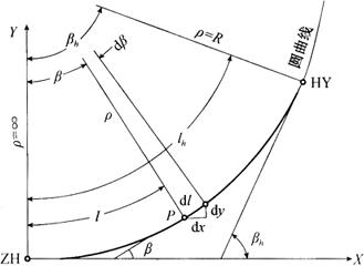
缓和曲线上任意一点P的切线与曲线起点ZH的切线所组成的夹角为β,β称为缓和曲线的切线角。缓和曲线切线角β实际上等于曲线起点ZH至曲线上任一点P之间的弧长l所对圆心角β。如图11-9所示。

图11-9 缓和曲线切线角

在P点取一微分弧dl,它所对应的圆心角为dβ,则:

将公式ρl=Rlh=c=0.035V3代入上式得

将上式积分:

当l=lh时,缓和曲线全长lh所对的切线角称为缓和曲线角,以βh表示。

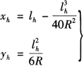
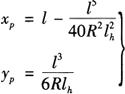
3.缓和曲线上任一点P坐标的计算

如图11-9所示,以缓和曲线起点ZH为原点,以过该点的切线为x轴,垂直于切线的方向为y轴。则任一点P的坐标可写为:

式中 dx、dy——纵横坐标微量。

将cosβ、sinβ按级数展开:

将上式代入dx、dy式中,再经积分整理后得:

上式称为缓和曲线的参数方程。

当l=lh时,即得缓和曲线的终点坐标值:

随便看

 

文网收录3541549条中英文词条,其功能与新华字典、现代汉语词典、牛津高阶英汉词典等各类中英文词典类似,基本涵盖了全部常用中英文字词句的读音、释义及用法,是语言学习和写作的有利工具。

 

Copyright © 2004-2024 Ctoth.com All Rights Reserved
京ICP备2021023879号 更新时间:2025/10/16 16:49:24