网站首页  词典首页

请输入您要查询的字词:

 

字词 羟钴胺素盐酸盐
类别 中英文字词句释义及详细解析
释义

羟钴胺素盐酸盐


别名 维生素B12

鉴别方法 用0.4%氢氧化钾溶液配制0.001%试样液,它在紫外吸收光谱中的最大和最小吸收波长应与由药典级叶酸配制的相同参比液相同。A254/A365的比值为2.80~3.00。

毒理学依据

1.LD50 大鼠静脉注射500mg/kg(bw)。

小鼠腹腔注射85mg/kg(bw)。

2.毒性 小孩给予150mg,成人给予450mg,未见有毒性作用。

3.GRAS FDA-21CFR172.345。

使用 维生素强化剂。

1.使用注意事项 本品是机体内一碳单位的传递体,在嘌呤和嘧咪啶的合成上起重要作用,与蛋白质合成密切相关。缺乏时可引起生长不良。

2.使用范围及使用量 我国《食品营养强化剂使用卫生标准》(GB 14880-94)规定:可用于婴幼儿配方食品,使用量为380~700μg/kg;孕妇、乳母专用食品,使用量2000~7500μg/kg;固体饮料,使用量600~1350μg/kg;免洗淘大米、面粉,使用量1000~3000μg/kg。

编码 GB 16.000

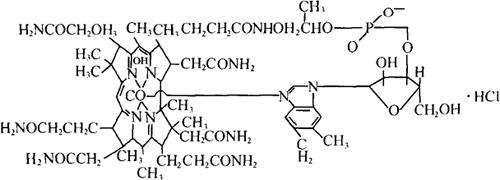
化学结构

C62H89CoN13O15P·HCl 相对分子质量 1382.7

性状 暗红色结晶性粉末,无臭,无味,有强吸湿性,溶于水,微溶于乙醇、苯,不溶于乙醚、丙酮、四氯化碳。

制法 以羟钴铵为原料与焦亚硫酸钠置换,与亚硝酸盐亚硝基化等,最后与盐酸制成盐酸盐。

本品同样具有维生素B12活性。其他参见氰钴胺素。

随便看

 

文网收录3541549条中英文词条,其功能与新华字典、现代汉语词典、牛津高阶英汉词典等各类中英文词典类似,基本涵盖了全部常用中英文字词句的读音、释义及用法,是语言学习和写作的有利工具。

 

Copyright © 2004-2024 Ctoth.com All Rights Reserved
京ICP备2021023879号 更新时间:2026/4/16 21:48:02